Foram encontradas 80 questões.
Em relação à viscosidade, os fluidos podem ser classificados em newtonianos e não-newtonianos, dependendo do comportamento linear ou não-linear no que diz respeito à relação entre a tensão de cisalhamento e o gradiente local de velocidade. Com relação às características dos fluidos newtonianos e não-newtonianos, assinale a alternativa correta.
Provas
Questão presente nas seguintes provas
Estruturas isostáticas são aquelas cujo número de reações é o estritamente necessário para que nenhum movimento seja permitido, ou seja, o equilíbrio estático da estrutura é estável. Além disso, as reações devem ser dispostas de maneira a restringir quaisquer possíveis movimentos da estrutura. Para ser isostática, uma estrutura deve obedecer a essas duas condições.
Estruturas hiperestáticas, por sua vez, são aquelas cujo número de reações é superior ao estritamente necessário para impedir qualquer movimento, de forma que é possível retirar algumas dessas reações de maneira criteriosa, sem que o equilíbrio deixe de ser estável. Define-se grau de hiperestaticidade como o número de ligações que podem ser suprimidas de uma estrutura hiperestática para transformá-la em uma estrutura isostática.

Qual é o grau de hiperestaticidade da estrutura plana apresentada?
Estruturas hiperestáticas, por sua vez, são aquelas cujo número de reações é superior ao estritamente necessário para impedir qualquer movimento, de forma que é possível retirar algumas dessas reações de maneira criteriosa, sem que o equilíbrio deixe de ser estável. Define-se grau de hiperestaticidade como o número de ligações que podem ser suprimidas de uma estrutura hiperestática para transformá-la em uma estrutura isostática.

Qual é o grau de hiperestaticidade da estrutura plana apresentada?
Provas
Questão presente nas seguintes provas
Estruturas isostáticas são aquelas cujo número de
reações é o estritamente necessário para que nenhum
movimento seja permitido, ou seja, o equilíbrio estático da
estrutura é estável. Além disso, as reações devem ser
dispostas de maneira a restringir quaisquer possíveis
movimentos da estrutura. Para ser isostática, uma estrutura
deve obedecer a essas duas condições.
Estruturas hiperestáticas, por sua vez, são aquelas cujo número de reações é superior ao estritamente necessário para impedir qualquer movimento, de forma que é possível retirar algumas dessas reações de maneira criteriosa, sem que o equilíbrio deixe de ser estável. Define-se grau de hiperestaticidade como o número de ligações que podem ser suprimidas de uma estrutura hiperestática para transformá-la em uma estrutura isostática.
Qual das estruturas planas a seguir é isostática?
Estruturas hiperestáticas, por sua vez, são aquelas cujo número de reações é superior ao estritamente necessário para impedir qualquer movimento, de forma que é possível retirar algumas dessas reações de maneira criteriosa, sem que o equilíbrio deixe de ser estável. Define-se grau de hiperestaticidade como o número de ligações que podem ser suprimidas de uma estrutura hiperestática para transformá-la em uma estrutura isostática.
Qual das estruturas planas a seguir é isostática?
Provas
Questão presente nas seguintes provas
Com o objetivo de se determinar a origem de um princípio de incêndio em uma fábrica, foi realizado um exame pericial nas instalações elétricas do prédio e nos equipamentos elétricos. Assim, foram examinados motores, condutores, tomadas, dispositivos de proteção e a subestação de energia, além da análise da forma de onda da corrente.
Na inspeção da subestação de energia da fábrica, foi verificado que existem dois transformadores, de 150 kVA de potência cada um, operando em paralelo. Entretanto, no diagrama unifilar da subestação, consta apenas um transformador de 300 kVA de potência. A respeito de subestações de energia de instalações industriais, assinale a alternativa correta.
Na inspeção da subestação de energia da fábrica, foi verificado que existem dois transformadores, de 150 kVA de potência cada um, operando em paralelo. Entretanto, no diagrama unifilar da subestação, consta apenas um transformador de 300 kVA de potência. A respeito de subestações de energia de instalações industriais, assinale a alternativa correta.
Provas
Questão presente nas seguintes provas
Os conceitos de diâmetro hidráulico e raio hidráulico permitem estabelecer uma equivalência de perda de pressão por unidade de comprimento entre dutos de seção circular e de outras formas geométricas, considerando a mesma velocidade média de escoamento. O diâmetro hidráulico
pode ser calculado pela seguinte equação:
Provas
Questão presente nas seguintes provas
Rápida, silenciosa e com pouca vibração. Quando o
assunto é esse tipo de fundação, essas três características
são as mais citadas por executores, projetistas, consultores e
construtores. E é por conta desses diferenciais que a
tecnologia tem sido largamente utilizada no Brasil.
A tecnologia também se distingue pela disponibilidade de equipamentos de diferentes torques (que permitem a execução desses elementos em terrenos com características distintas de resistência e com profundidades elevadas), possibilidade de execução de elementos de grandes diâmetros e existência de sistemas de monitoramento e controle de execução acoplados ao próprio equipamento de escavação.
Outra característica desse tipo de fundação é permitir a execução em terrenos coesivos e arenosos, na presença ou não do lençol freático, e atravessar camadas de solos resistentes com índices de SPT acima de 50, dependendo do tipo de equipamento. Porém, segundo conta Gisleine Coelho de Campos, engenheira do Instituto de Pesquisas Tecnológicas do Estado de São Paulo, o sistema deve ser utilizado com cautela em solos de baixa consistência abaixo do nível d'água, como argilas moles e areias fofas.

Esse tipo de fundação é executado pelo trado ilustrado na figura, e a injeção do concreto é feita por um tubo central quando da retirada do aparelho do solo. Uma vez concluída a concretagem, é introduzida a ferragem necessária.
Essa descrição refere-se a qual tipo de fundação?
A tecnologia também se distingue pela disponibilidade de equipamentos de diferentes torques (que permitem a execução desses elementos em terrenos com características distintas de resistência e com profundidades elevadas), possibilidade de execução de elementos de grandes diâmetros e existência de sistemas de monitoramento e controle de execução acoplados ao próprio equipamento de escavação.
Outra característica desse tipo de fundação é permitir a execução em terrenos coesivos e arenosos, na presença ou não do lençol freático, e atravessar camadas de solos resistentes com índices de SPT acima de 50, dependendo do tipo de equipamento. Porém, segundo conta Gisleine Coelho de Campos, engenheira do Instituto de Pesquisas Tecnológicas do Estado de São Paulo, o sistema deve ser utilizado com cautela em solos de baixa consistência abaixo do nível d'água, como argilas moles e areias fofas.

Esse tipo de fundação é executado pelo trado ilustrado na figura, e a injeção do concreto é feita por um tubo central quando da retirada do aparelho do solo. Uma vez concluída a concretagem, é introduzida a ferragem necessária.
Essa descrição refere-se a qual tipo de fundação?
Provas
Questão presente nas seguintes provas
A figura representa uma treliça metálica plana submetida a dois carregamentos aplicados sobre o nó B. Os encontros das barras são rotulados. As barras CH e GD não se interceptam; portanto, o cruzamento dessas duas barras representado no desenho não constitui um nó. O mesmo pode ser dito em relação aos pares de barras DI-EH e EJ-IF.
Os esforços nas barras AB e BE são
Provas
Questão presente nas seguintes provas

A figura representa uma treliça metálica plana submetida a dois carregamentos aplicados sobre o nó B. Os encontros das barras são rotulados. As barras CH e GD não se interceptam; portanto, o cruzamento dessas duas barras representado no desenho não constitui um nó. O mesmo pode ser dito em relação aos pares de barras DI-EH e EJ-IF.
O valor absoluto da reação vertical no nó G, em kN, é igual a
Provas
Questão presente nas seguintes provas

A figura representa uma treliça metálica plana submetida a dois carregamentos aplicados sobre o nó B. Os encontros das barras são rotulados. As barras CH e GD não se interceptam; portanto, o cruzamento dessas duas barras representado no desenho não constitui um nó. O mesmo pode ser dito em relação aos pares de barras DI-EH e EJ-IF.
Com relação à treliça metálica apresentada, assinale a alternativa correta.
Provas
Questão presente nas seguintes provas
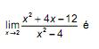
O valor da expressão 

Provas
Questão presente nas seguintes provas
Cadernos
Caderno Container