Foram encontradas 80 questões.
O 5-amino-2,3-di-hidro-1,4-ftalazinadiona, comumente
chamado de luminol, é um composto que, em determinadas
condições, pode fazer parte de uma reação quimiluminescente.
Essa substância reage com quantidades muito pequenas de
sangue. A respectiva sensibilidade pode chegar a
1/1.000.000.000, mesmo em locais com azulejos, pisos
cerâmicos ou de madeira, os quais tenham sido lavados.

Provas
Questão presente nas seguintes provas
Em 2015, foram registrados 31 ataques a caixas eletrônicos na capital federal. Os explosivos eram trazidos da
Bahia e montados no local do crime.
Disponível em: <http://www.correiobraziliense.com.br/app/noticia/cidades/2016/09/25/interna_cidadesdf,500117/ataques-a-caixas-eletronicosrenderam-r-1-5-milhão-a-quadrilha.shtml>. Acesso em: 16 abr. 2016, com adaptações.
O nitrato de amônio é o composto mais utilizado como explosivo em ações de ataque a caixas eletrônicos. Quanto a essa substância, assinale a alternativa correta.
Provas
Questão presente nas seguintes provas
- Interações com Tecnologia, Sociedade e Meio Ambiente
- Química InorgânicaSoluções e Substâncias Inorgânicas
A Resolução no
306/2004 da Agência Nacional de Vigilância
Sanitária e a Resolução no
358/2005 do Conselho Nacional
do Meio Ambiente (CONAMA), que dispõe quanto ao
tratamento e à disposição final de resíduos, estabelece que
soluções de ácidos e de bases inorgânicas (H2SO4, HCl,
H3PO4, HNO3, KOH, NaOH) podem ser
Provas
Questão presente nas seguintes provas
- FundamentosLigações Químicas
- FundamentosPropriedades das Substâncias
- Química InorgânicaGeometria Molecular, Polaridade e Forças Intermoleculares
- Química InorgânicaSoluções e Substâncias InorgânicasSubstâncias Inorgânicas: dissociação iônica e ionização, conceitos de ácido-base
A hemoglobina é a proteína que tem como principal função o
transporte de gases para os tecidos. A parte proteica da
molécula de hemoglobina (globina) é composta por quatro
cadeias polipeptídicas às quais se liga um grupo prostético
(heme). O heme, anel porfirínico tetrapirrólico cujo núcleo
contém ferro na forma de Fe2+, é o pigmento que dá a cor
vermelha ao sangue. A respeito do complexo ferro-porfirina,
é correto afirmar que o
Provas
Questão presente nas seguintes provas
- FundamentosPropriedades das Substâncias
- Interações com Tecnologia, Sociedade e Meio Ambiente
- Química CinéticaRepresentação das Transformações Químicas
- Química InorgânicaGeometria Molecular, Polaridade e Forças Intermoleculares
- Química InorgânicaSoluções e Substâncias InorgânicasSubstâncias Inorgânicas: dissociação iônica e ionização, conceitos de ácido-base
De acordo com os tanatólogos (estudiosos da morte), os
gases resultantes da putrefação dos cadáveres são o ácido
sulfídrico, os mercaptanos, o dióxido de carbono, o metano,
o amoníaco e a fosfina. No que se refere a esses compostos, é
correto afirmar que
Provas
Questão presente nas seguintes provas
- FundamentosPropriedades das Substâncias
- Química InorgânicaGeometria Molecular, Polaridade e Forças Intermoleculares
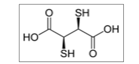
O tratamento para intoxicações causadas por
chumbo (II), mercúrio (II) e cádmio (II) está basicamente
centrado na utilização de antídotos, que são substâncias
químicas de diferentes classes. Algumas dessas substâncias
recebem o nome de agentes complexantes ou quelantes e
podem ser naturais ou sintéticas. Um dos agentes quelantes
mais utilizados é o ácido 2,3-dimercaptosuccínico (DMSA).
A representação molecular desse composto pode ser vista a
seguir.
Disponível em:<http://www.crq4.org.br/quimica_viva_os_metais_e _a_saude_humana . Acesso em: 17 abr. 2016, com adaptações.
Com base nessas informações, é correto afirmar que o complexo [Hg(DMSA)2] formado com o DMSA e o mercúrio apresenta
Disponível em:<http://www.crq4.org.br/quimica_viva_os_metais_e _a_saude_humana . Acesso em: 17 abr. 2016, com adaptações.

Com base nessas informações, é correto afirmar que o complexo [Hg(DMSA)2] formado com o DMSA e o mercúrio apresenta
Provas
Questão presente nas seguintes provas
O 5-amino-2,3-di-hidro-1,4-ftalazinadiona, comumente
chamado de luminol, é um composto que, em determinadas
condições, pode fazer parte de uma reação quimiluminescente.
Essa substância reage com quantidades muito pequenas de
sangue. A respectiva sensibilidade pode chegar a
1/1.000.000.000, mesmo em locais com azulejos, pisos
cerâmicos ou de madeira, os quais tenham sido lavados.

Provas
Questão presente nas seguintes provas
O acetato de tálio, que compunha alguns cremes e
loções para eliminar pelos corporais indesejados, foi uma das
formas de intoxicação mais comuns para as pessoas no
século 18. Ao ser intoxicado por tálio, o indivíduo pode
apresentar sintomas como: insônia, depressão profunda e
desejo de morrer.
EMSLEY, J. The Elements of Murder - A History of Poison. Oxford:
Oxford University Press, 2005, com adaptações. Considerando as informações do texto, é correto afirmar que
a intoxicação por tálio ocorre principalmente pela(o)
Provas
Questão presente nas seguintes provas
A espectrofotometria é uma técnica analítica utilizada para
determinação de espécies químicas usando a luz. Essa
técnica utiliza-se dos princípios propostos por Lambert-Beer
(1852). No que se refere aos conhecimentos a respeito dessa
técnica, e considerando a Lei de Lambert-Beer, assinale a
alternativa correta.
Provas
Questão presente nas seguintes provas
A cromatografia é uma técnica analítica muito utilizada para
determinação de diferentes espécies, entre elas compostos
orgânicos, compostos inorgânicos, íons e metais. Ela foi
primeiramente descrita pelo botânico russo Mikhail Tswett
(1910) e tem base no princípio de separação dos componentes
presentes na amostra. De acordo com os princípios básicos da
cromatografia líquida, é correto afirmar que a
Provas
Questão presente nas seguintes provas
Cadernos
Caderno Container