Magna Concursos

Foram encontradas 60 questões.

503967 Ano: 2013
Disciplina: Estatística
Banca: FUMARC
Orgão: PC-MG
Sejam n1 = 8 e n2 = 13 os tamanhos de duas amostras coletadas com o objetivo de testar a igualdade entre suas médias. Os desvios-padrão obtidos foram, respectivamente, s1 = 10 e s2 = 15. Para testar a igualdade das variâncias, foi realizado um teste F. Os valores dos graus de liberdade da distribuição F e do valor calculado da estatística de teste F são, respectivamente:
 

Provas

Questão presente nas seguintes provas
503966 Ano: 2013
Disciplina: Estatística
Banca: FUMARC
Orgão: PC-MG
Considerando que o número de horas perdidas com acidentes de trabalho em uma indústria por semana é uma variável aleatória normalmente distribuída com média 40 horas e variância 16 horas 2 , é CORRETO afirmar:
 

Provas

Questão presente nas seguintes provas
503965 Ano: 2013
Disciplina: Estatística
Banca: FUMARC
Orgão: PC-MG
Suponha que o número de chamadas que chegam a uma central telefônica siga uma distribuição de Poisson, com média de chegada de 60 chamadas por hora. A probabilidade de que, em 10 minutos, cheguem, no máximo, 2 chamadas é de:
 

Provas

Questão presente nas seguintes provas
503964 Ano: 2013
Disciplina: Matemática
Banca: FUMARC
Orgão: PC-MG
Em 2010, o preço médio de certo artigo era 20% superior ao de 2009, 10% inferior ao de 2008 e 25% superior ao de 2011. O índice de preço relativo do ano de 2011, adotando 2008 como ano-base, é:
 

Provas

Questão presente nas seguintes provas
503963 Ano: 2013
Disciplina: Estatística
Banca: FUMARC
Orgão: PC-MG
As notas finais de um exame padrão de inteligência apresentam distribuição normal com desvio-padrão desconhecido. Um professor seleciona uma amostra aleatória de 16 estudantes e aplica o exame a essa amostra, obtendo uma nota média de 83 pontos e um desvio-padrão de 8 pontos. Considerando a população de tamanho infinito e t 0,05 o quantil da distribuição t de Student para teste unicaudal, tal que P ( t > t 0,05 ) com g graus de liberdade, obteve-se, com base nessa amostra, um intervalo de confiança de 90% para a média populacional.
Esse intervalo de confiança, em pontos, tem margem de erro igual a:

enunciado 503963-1

 

Provas

Questão presente nas seguintes provas
503962 Ano: 2013
Disciplina: Estatística
Banca: FUMARC
Orgão: PC-MG
No estudo da adequação de um modelo de regressão linear simples, foram obtidos os seguintes gráficos para análise dos resíduos:

enunciado 503962-1

Analisando os gráficos, é CORRETO afirmar que o modelo ajustado é inadequado porque

 

Provas

Questão presente nas seguintes provas
503961 Ano: 2013
Disciplina: Estatística
Banca: FUMARC
Orgão: PC-MG
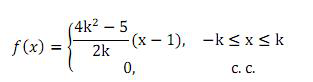
A função f (x ) é uma função real definida por:

enunciado 503961-1

O valor de K para o qual a f (x ) é uma função densidade de probabilidade da variável aleatória X
 

Provas

Questão presente nas seguintes provas
503960 Ano: 2013
Disciplina: Estatística
Banca: FUMARC
Orgão: PC-MG
Em relação ao boxplot a seguir, construído por meio dos dados de 32 vendedores de uma empresa, é CORRETO afirmar:

enunciado 503960-1

 

Provas

Questão presente nas seguintes provas
503959 Ano: 2013
Disciplina: Estatística
Banca: FUMARC
Orgão: PC-MG
A função de distribuição empírica F ( x ) a seguir corresponde a uma pesquisa realizada com 80 famílias de um bairro. A variável é o número de filhos para cada família.

enunciado 503959-1

O número de famílias que possuem, pelo meno, um filho e, no máximo, três filhos é:
 

Provas

Questão presente nas seguintes provas
503958 Ano: 2013
Disciplina: Estatística
Banca: FUMARC
Orgão: PC-MG
Considere os seguintes correlogramas da função de autocorrelação (i) e da função de autocorrelação pacial (ii) de um modelo de séries temporais.

enunciado 503958-1

Os aspectos desses correlogramas evidenciam que esse é um processo:
 

Provas

Questão presente nas seguintes provas