Magna Concursos

Foram encontradas 60 questões.

160513 Ano: 2018
Disciplina: Engenharia Mecânica
Banca: NUCEPE
Orgão: PC-PI
O tipo de ferro fundido em que a grafita aparece com formato esférico é o:
 

Provas

Questão presente nas seguintes provas
160512 Ano: 2018
Disciplina: Engenharia Mecânica
Banca: NUCEPE
Orgão: PC-PI
Sobre as características de uma fratura dúctil por tração, assinale a opção INCORRETA.
 

Provas

Questão presente nas seguintes provas
160511 Ano: 2018
Disciplina: Engenharia Mecânica
Banca: NUCEPE
Orgão: PC-PI
A parede de um forno com 10 cm de espessura possui condutividade térmica igual a 1 W/m. ºC, o seu interior encontra-se à temperatura de 410ºC, e o coeficiente de troca de calor por convecção é de 45 W/m².ºC. O ambiente externo também troca calor com o forno por convecção a uma temperatura de 25ºC. Admitindo que a taxa de transferência de calor na parede é 450 W/m², a temperatura da superfície interna do forno em ºC, vale:
 

Provas

Questão presente nas seguintes provas
160510 Ano: 2018
Disciplina: Engenharia Mecânica
Banca: NUCEPE
Orgão: PC-PI
Para algumas ligas de aço e de titânio, o limite de resistência á fadiga é a tensão limite na qual:
 

Provas

Questão presente nas seguintes provas
160509 Ano: 2018
Disciplina: Engenharia Mecânica
Banca: NUCEPE
Orgão: PC-PI
Sobre engrenagens assinale a opção CORRETA.
 

Provas

Questão presente nas seguintes provas
160508 Ano: 2018
Disciplina: Engenharia Mecânica
Banca: NUCEPE
Orgão: PC-PI
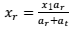
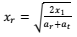
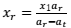
Um rapaz de massa m1 e um trenó de massa m2 estão sobre a superfície de um lago congelado, separados por uma distância x1 . O rapaz aplica sobre o trenó uma força horizontal F, puxando-o por uma corda, em sua direção. A que distância (xr), em relação à posição inicial do rapaz, eles se juntam, supondo nulas as forças de atrito? Seja ar , a aceleração do rapaz, at , a aceleração do trenó, e t o tempo.
 

Provas

Questão presente nas seguintes provas
160506 Ano: 2018
Disciplina: Engenharia Mecânica
Banca: NUCEPE
Orgão: PC-PI
Um dos principais fatores para ocorrência de uma fratura frágil é:
 

Provas

Questão presente nas seguintes provas
160503 Ano: 2018
Disciplina: Engenharia Mecânica
Banca: NUCEPE
Orgão: PC-PI
Quanto a transformações de fases em diagramas de fases, responda: a reação invariante de três fases em equilíbrio, durante o aquecimento, na qual uma fase sólida se transforma em uma fase líquida e outra sólida, é chamada de:
 

Provas

Questão presente nas seguintes provas
160502 Ano: 2018
Disciplina: Engenharia Mecânica
Banca: NUCEPE
Orgão: PC-PI
Quanto a ensaio de tração, escolha a alternativa CORRETA.
 

Provas

Questão presente nas seguintes provas
160501 Ano: 2018
Disciplina: Engenharia Mecânica
Banca: NUCEPE
Orgão: PC-PI
Em um refrigerador de ar comum do tipo janela, o fluido refrigerante após passar pelo condensador se transforma no:
 

Provas

Questão presente nas seguintes provas