Foram encontradas 70 questões.
Aços inoxidáveis duplex são uma categoria muito especial de aços inoxidáveis de grande aplicação na indústria do petróleo por apresentarem excelente resistência à corrosão.
A microestrutura desses aços é constituída de maneira preponderante pelas seguintes fases:
A microestrutura desses aços é constituída de maneira preponderante pelas seguintes fases:
Provas
Questão presente nas seguintes provas
Aços de construção mecânica são ligas de ferro e carbono com adição de elementos de liga capazes de aumentar a resistência mecânica pela precipitação de carbonetos ou pelo aumento da temperabilidade.
Nesses aços, os elementos que favorecem a precipitação de carbonetos são os seguintes:
Nesses aços, os elementos que favorecem a precipitação de carbonetos são os seguintes:
Provas
Questão presente nas seguintes provas
Aços inoxidáveis possuem grande quantidade de cromo como elemento de liga, podendo ser produzidos como aços austeníticos, ferríticos e martensíticos. Sob determinadas condições de tratamentos térmicos, o cromo causa a formação de fases indesejáveis que reduzem a resistência à corrosão ou deterioram as propriedades mecânicas do aço.
Um tratamento térmico NÃO poderá formar as seguintes fases nos aços inoxidáveis ricos em cromo:
Um tratamento térmico NÃO poderá formar as seguintes fases nos aços inoxidáveis ricos em cromo:
Provas
Questão presente nas seguintes provas
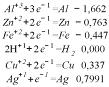
A corrosão galvânica está presente nas mais diversas condições industriais em que se realiza contato elétrico entre dois metais distintos em um meio eletrolítico. Alguns contatos elétricos típicos são: zinco com ferro, ferro com cobre e cobre com prata.
Os potenciais de redução estão apresentados a seguir.

O que se constata quanto ao favorecimento da corrosão a partir do contato entre esses elementos?
Os potenciais de redução estão apresentados a seguir.

O que se constata quanto ao favorecimento da corrosão a partir do contato entre esses elementos?
Provas
Questão presente nas seguintes provas
A transformação martensítica gera uma fase metaestável nos aços, a qual apresenta propriedades mecânicas muito especiais. Em relação às características presentes nas transformações martensíticas, considere as afirmativas a seguir.
I - A transformação martensítica em aços faz com que eles fiquem mais maleáveis porque o carbono se precipita na forma de carbonetos durante a transformação.
II - A transformação martensítica em aços faz com que eles fiquem mais duros porque o carbono permanece em solução.
III - Aços que sofrem a transformação martensítica ficam mais dúcteis porque o carbono permanece em solução.
IV- A transformação martensítica em aços faz a estrutura cúbica de face centrada da austenita se transformar em tetragonal de corpo centrado.
Estão corretas as afirmativas
I - A transformação martensítica em aços faz com que eles fiquem mais maleáveis porque o carbono se precipita na forma de carbonetos durante a transformação.
II - A transformação martensítica em aços faz com que eles fiquem mais duros porque o carbono permanece em solução.
III - Aços que sofrem a transformação martensítica ficam mais dúcteis porque o carbono permanece em solução.
IV- A transformação martensítica em aços faz a estrutura cúbica de face centrada da austenita se transformar em tetragonal de corpo centrado.
Estão corretas as afirmativas
Provas
Questão presente nas seguintes provas
Um eixo metálico que possui um limite de fadiga de 200 MPa é empregado num sistema mecânico sob um esforço de tensão que varia, segundo uma senoide, com o tempo.
Sabendo-se que esforços trativos são positivos e esforços compressivos são negativos, a condição de esforço, em MPa, que não causará fadiga no material é a tensão dada pela expressão
Sabendo-se que esforços trativos são positivos e esforços compressivos são negativos, a condição de esforço, em MPa, que não causará fadiga no material é a tensão dada pela expressão
Provas
Questão presente nas seguintes provas
Ensaios não destrutivos são técnicas aplicadas a materiais, equipamentos e estruturas com o objetivo de avaliar propriedades, desempenho e integridade sem comprometer suas futuras aplicações.
A sequência das etapas associadas com ensaios não destrutivos inicia-se com aplicação e prossegue com
A sequência das etapas associadas com ensaios não destrutivos inicia-se com aplicação e prossegue com
Provas
Questão presente nas seguintes provas
Ensaios radiográficos têm larga aplicação na indústria, permitindo a detecção de descontinuidades através de modificações na radiação ocasionadas por absorção pela matéria e passagens por descontinuidades.
Tal técnica, porém, NÃO é recomendada para indicar
Tal técnica, porém, NÃO é recomendada para indicar
Provas
Questão presente nas seguintes provas
A fragilização por hidrogênio é um dos problemas mais importantes no emprego de diversos materiais metálicos, mas alguns procedimentos podem ser desenvolvidos para evitar essa fragilização.
O que se deve fazer para reduzir a fragilização por hidrogênio?
O que se deve fazer para reduzir a fragilização por hidrogênio?
Provas
Questão presente nas seguintes provas
A fratura intergranular é caracterizada pela propagação
Provas
Questão presente nas seguintes provas
Cadernos
Caderno Container