Foram encontradas 50 questões.
Analise as afirmativas referentes ao Governo João Baptista Figueiredo (1979-1985).

Assinale a alternativa que apresenta as proposições corretas.
Provas
Durante a República do "Café-com-Leite", surgiu um movimento político militar denominado tenentismo. Sobre esse movimento, analise os itens a seguir.

Estão corretos
Provas
Sobre a Independência do Brasil, considere as proposições a seguir.

Estão corretas
Provas
Sobre as invasões holandesas no Nordeste brasileiro, analise as afirmativas a seguir.

Estão corretas
Provas
- Estatística DescritivaMedidas de Tendência CentralMédiasMédia AritméticaMédia Ponderada (Agrupados por Valor)
Um automobilista desenvolve as velocidades seguintes: 
A velocidade média alcançada foi de
Provas
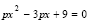
A equação do 2º grau
terá duas raízes iguais, se
Provas
Qual dos números abaixo é solução da equação: 
Provas
- Estatística DescritivaMedidas de Tendência CentralMédiasMédia AritméticaMédia Ponderada (Agrupados por Valor)
No concurso para cabo de uma Instituição Militar, o candidato é submetido a 4 avaliações: Matemática e Português com peso 2,0, Avaliação Física com peso 3,0 e Conhecimentos Específicos com peso 1,0. O soldado Marcelo se submeteu ao concurso e obteve os seguintes resultados:

A média ponderada do soldado Marcelo, no concurso, foi de
Provas
- FundamentosFrações e Números DecimaisFraçõesDízimas Periódicas
- ConjuntosConjuntos NuméricosRacionais
O número A = 0,25222222... é um número racional, logo pode ser escrito na forma de fração. Qual a fração irredutível que representa o número A?
Provas
Os alunos de uma classe resolveram comprar um presente e dividir as despesas em partes iguais. Se cada um pagasse R$125,00, faltariam R$180,00 para comprar o presente. Se cada um pagasse R$140,00, sobrariam R$360,00. Quantos eram os alunos e qual a quota de cada um?
Provas
Caderno Container