Foram encontradas 122 questões.
Considera el siguiente texto:
Con la muerte ayer del albañil accidentado el miércoles en Calahorra, la cifra de fallecidos en el primer cuatrimestre es igual a la suma de los de los cuatro años anteriores.
Disponible en: https://www.larioja.com.
Según el periódico, es correcto afirmar que la persona que murió en la ciudad de Calahorra era un:
Provas
Considera el siguiente texto:
Si el pasado lunes las previsiones apuntaban a que la calima ponía al archipiélago canario en alerta amarilla, la Península no ha querido ser menos. Según informa la Agencia Estatal de Meteorología (Aemet), _________________________________ ____________________________________________________________________________________________________.
Adaptado de: https://www.20minutos.es/noticia/5101265/0/la-aemet-avisa-la-calima-tambien-llegara-a-la-peninsula-durante-esta-semana/.
A partir de la información del texto, el fenómeno atmosférico presentado en la noticia se completa correctamente en la alternativa:
Provas

Disponível em: https://www.tabelaperiodica.org/
Considerando apenas a composição mencionada, a reciclagem dessas novas lâmpadas traria vantagens porque:
Provas
- Química InorgânicaSoluções e Substâncias InorgânicasSubstâncias Inorgânicas: dissociação iônica e ionização, conceitos de ácido-base
- Química InorgânicaSoluções e Substâncias InorgânicasSoluções: características, tipos de concentração, diluição, mistura, titulação e soluções coloidais
4 Au(minério) + 8 NaCN(aq) + O2(g) + 2 H2O(l) → 4 Na[Au(CN)2](aq) + 4 NaOH(aq)
A espécie química solúvel [Au(CN)2]− é posteriormente imobilizada sobre carvão ativado, e o ouro é recuperado por redução eletroquímica:
[Au(CN)2]−(aq) + e− → Au(s) + 2 CN−(aq)
Dados: Massa molar (g mol−1): Au = 197, NaCN = 49.
Considerando a estequiometria das reações, qual é a massa de ouro que se espera extrair, utilizando-se 1 kg de cianeto de sódio?
Provas
Provas
H2PO3F(aq) + 2 NaOH(aq) → Na2PO3F(aq) + 2 H2O(l)
Adicionou-se uma solução de NaOH 0,14 mol L-1 ao ácido até ser obtido 0,28 mol de Na2PO3F. Qual foi o volume da solução de NaOH adicionado?
Provas
- FundamentosLigações Químicas
- FundamentosPropriedades das Substâncias
- Química InorgânicaSoluções e Substâncias InorgânicasSubstâncias Inorgânicas: dissociação iônica e ionização, conceitos de ácido-base

Ao se calcular as cargas formais de cada átomo na estrutura apresentada, conclui-se que são nulas, com exceção dos átomos:
Provas
- Química OrgânicaReações OrgânicasReações Orgânicas: Substituição, Adição e Eliminação
- Química OrgânicaReações OrgânicasReações Orgânicas: Oxidação, Redução e Polimerização
- Química OrgânicaTipos de Reagentes e Mecanismos das Reações Orgânicas
Provas
A química orgânica e as características do carbono
Começou com a síntese da Ureia, A Química Orgânica que conhecemos; Com alguns grupos funcionais, E as propriedades que sabemos, E seu grande brilhantismo, Voltando-se para a pesquisa científica Que, independentemente do organismo, Descreveu um resultado inesperado, Contrariando a teoria do Vitalismo. (...) Compostos que ficaram conhecidos Como isômeros, para explicar O fenômeno isomeria é que dois Ou mais compostos venham apresentar. Diferente fórmula estrutural E mesma fórmula molecular
SOUSA, Mario Marques de. A Literatura de Cordel no Ensino de Química: uma Proposta Didática. In: Anais do 20º Encontro Nacional de Ensino de Química (ENEQ Pernambuco). Anais...Recife(PE) UFRPE/UFPE, 2020. Disponível em: http//www.even3.com.br/anais/ENEQPE2020.
Sabendo que a isomeria abrange boa parte dos estudos relacionados à Química Orgânica, assinale a alternativa que apresenta uma característica atribuída aos isômeros.
Provas
- Química OrgânicaFunções Nitrogenadas: Amina, Amida, Nitrila, Isonitrila e Nitro Composto
- Química OrgânicaPropriedades Físicas dos Compostos Orgânicos

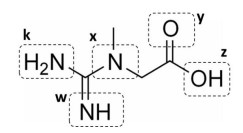
Em pH = 11,0, qual átomo estará carregado negativamente, formando uma espécie química iônica?
Provas
Caderno Container