Foram encontradas 30 questões.
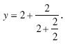
Rebeca, aluna aplicada, pede para seu pai resolver a expressão
. Ajude o pai de Rebeca a calcular a expressão.
Provas
Assinale a alternativa correta.
Provas
Dan e Rebeca partiram uma torta de chocolate retangular. Dan comeu a metade da terça parte, e Rebeca comeu a terça parte da metade. Quem comeu mais?
Provas
São dadas as sentenças:
I. O número 1 é primo.
II. O número 0 tem infinitos divisores.
III. O número 124 é primo.
É correto afirmar que SOMENTE
Provas
Os números x e y são tais que
. O maior valor possível de x/y é
Provas
Texto 02 para as questões de 13 a 15.

Analisando os textos 01 e 02, observamos
Provas
Texto 02 para as questões de 13 a 15.

Há na tira uma imagem que registra
Provas
Texto 02 para as questões de 13 a 15.

Observando a tira, você conclui que
Provas
Texto 01 para as questões de 01 a 12.

Em "Até pinga da boa é difícil...", o termo boa concordou com pinga em número e gênero. Em qual das alternativas abaixo, há erro de concordância nominal?
Provas
Texto 01 para as questões de 01 a 12.

Assinale a alternativa que apresenta erro de Concordância Verbal.
Provas
Caderno Container