Foram encontradas 195 questões.
- LegislaçãoEducação Especial: Leis, Tratados e Normas Especiais
- Temas Educacionais PedagógicosInclusão e Exclusão: Diversidade, Desigualdade e Diferença
A perspectiva da Educação inclusiva tem sido construída ao longo dos anos e vem modificando a legislação brasileira, bem como
concepções de ensino e de aprendizagem. Porém, ainda existem muitas confusões em torno de conceitos e práticas relacionadas à
Educação Inclusiva.
Considerando esta temática, a Educação inclusiva:
I- Reflete um processo de conquista social, com o atendimento a estudantes com deficiência, transtornos globais do desenvolvimento e altas habilidades/superdotação. Portanto, é um conceito sinônimo de Educação Especial, na garantia do / cumprimento de direitos historicamente reivindicados.
II- É um conceito relacionado ao direcionamento do trabalho educativo nas instituições de ensino, pautado nas diferenças (individuais e grupais) e na diversidade (coletividade), que engloba pessoas com deficiência, transtornos globais do desenvolvimento, altas habilidades/superdotação, população indígena, quilombola, do campo, diferentes religiões, diferentes / gêneros e diversidade sexual, bem como outras presenças e representatividades sociais e/ou culturais.
III- Juntamente com a e inclusão escolar não podem ser tratadas como sinônimos porque a primeira expressão envolve princípios atualizados do fazer pedagógico em toda educação, enquanto a segunda é uma expressão obsoleta e ultrapassada, mais voltada para o Ensino Fundamental.
Está CORRETO o que se afirma em:
Considerando esta temática, a Educação inclusiva:
I- Reflete um processo de conquista social, com o atendimento a estudantes com deficiência, transtornos globais do desenvolvimento e altas habilidades/superdotação. Portanto, é um conceito sinônimo de Educação Especial, na garantia do / cumprimento de direitos historicamente reivindicados.
II- É um conceito relacionado ao direcionamento do trabalho educativo nas instituições de ensino, pautado nas diferenças (individuais e grupais) e na diversidade (coletividade), que engloba pessoas com deficiência, transtornos globais do desenvolvimento, altas habilidades/superdotação, população indígena, quilombola, do campo, diferentes religiões, diferentes / gêneros e diversidade sexual, bem como outras presenças e representatividades sociais e/ou culturais.
III- Juntamente com a e inclusão escolar não podem ser tratadas como sinônimos porque a primeira expressão envolve princípios atualizados do fazer pedagógico em toda educação, enquanto a segunda é uma expressão obsoleta e ultrapassada, mais voltada para o Ensino Fundamental.
Está CORRETO o que se afirma em:
Provas
Questão presente nas seguintes provas
Didática é uma área da Pedagogia que foi consolidada no contexto do pensamento moderno. Sobre esse surgimento, é CORRETO
afirmar que:
Provas
Questão presente nas seguintes provas
Uma professora de Ensino Fundamental I está planejando uma atividade para estimular o desenvolvimento cognitivo de sua turma, em
uma sequência didática que propicie o aprendizado de modo significativo. Ela quer levar em conta as contribuições de teorias da
aprendizagem para a educação na linha cognitivista e, assim, precisa conhecer os respectivos criadores ou difundidores. Nesse
contexto, analise as proposições a seguir, que resumem princípios de algumas das teorias de aprendizagem:
I- A aprendizagem é um processo que depende do ambiente social e da mediação de outros mais experientes, sendo influenciada pela linguagem e pelos signos culturais.
II- A aprendizagem é um processo que depende da maturação biológica e da experiência individual, seguindo uma sequência universal de estágios.
III- A aprendizagem é um processo que ocorre quando uma nova informação interage com conceitos ou proposições relevantes, que preexistem na estrutura cognitiva do aprendiz.
Considerando princípios relativos a algumas teorias de aprendizagem, assinale a alternativa CORRETA que apresenta a sequência de autores relacionados a três dessas teorias:
I- A aprendizagem é um processo que depende do ambiente social e da mediação de outros mais experientes, sendo influenciada pela linguagem e pelos signos culturais.
II- A aprendizagem é um processo que depende da maturação biológica e da experiência individual, seguindo uma sequência universal de estágios.
III- A aprendizagem é um processo que ocorre quando uma nova informação interage com conceitos ou proposições relevantes, que preexistem na estrutura cognitiva do aprendiz.
Considerando princípios relativos a algumas teorias de aprendizagem, assinale a alternativa CORRETA que apresenta a sequência de autores relacionados a três dessas teorias:
Provas
Questão presente nas seguintes provas
Moacir Gadotti (2008), no livro “História das ideias pedagógicas”, apresenta um resumo dos preceitos e principais teóricos do
Movimento da Escola Nova, e explicita que esse movimento contemplou consideráveis mudanças nos métodos de ensino e
proposições da abordagem de ensino tradicional.
Considerando alguns teóricos escolanovistas e suas proposições, analise as seguintes asserções:
I- Ouvide Decroly propôs o método de ensino baseado nos centros de interesse, que seriam temas centrais da vida social levados para a escola, como a família, o universo, o mundo vegetal e o mundo animal.
II- Eduard Claparéde propunha a educação baseada nas etapas do desenvolvimento infantil, sendo a aprendizagem submetida a tais etapas. Postulou sobre a utilização de jogos adequados a cada fase e também sobre a importância dos registros dos avanços das crianças.
III- Maria Montessori construiu uma enorme quantidade de jogos e materiais pedagógicos concretos, como cubos, caixas, cartões, entre outros, que exploravam os sentidos e tinha função autocorretora. Também propunha um ambiente escolar com objetos pequenos e adaptados ao tamanho das crianças
A partir das ideias apresentadas, é CORRETO o que se afirma apenas em:
Considerando alguns teóricos escolanovistas e suas proposições, analise as seguintes asserções:
I- Ouvide Decroly propôs o método de ensino baseado nos centros de interesse, que seriam temas centrais da vida social levados para a escola, como a família, o universo, o mundo vegetal e o mundo animal.
II- Eduard Claparéde propunha a educação baseada nas etapas do desenvolvimento infantil, sendo a aprendizagem submetida a tais etapas. Postulou sobre a utilização de jogos adequados a cada fase e também sobre a importância dos registros dos avanços das crianças.
III- Maria Montessori construiu uma enorme quantidade de jogos e materiais pedagógicos concretos, como cubos, caixas, cartões, entre outros, que exploravam os sentidos e tinha função autocorretora. Também propunha um ambiente escolar com objetos pequenos e adaptados ao tamanho das crianças
A partir das ideias apresentadas, é CORRETO o que se afirma apenas em:
Provas
Questão presente nas seguintes provas
A Lei nº 9.394, de 20 de dezembro de 1996 determina as Diretrizes e Bases da Educação Nacional, dentre outros pontos, aborda a
gestão democrática. Sobre este tema na referida Lei, é CORRETO afirmar que a gestão democrática é:
Provas
Questão presente nas seguintes provas
- EcologiaEcologia de Populações e EcossistemasCadeias e teias alimentares
- Identidade dos Seres Vivos
- Reino AnimalIntrodução ao Estudo dos Animais
- Níveis de organização da vida
O Manual de Controle de Escorpiões do Ministério da Saúde explica que os escorpiões não devem ser combatidos nas residências com
o uso de venenos em spray, comumente utilizados para matar baratas, já que, eles podem permanecer com seus estigmas pulmonares
fechados por um longo período e assim não serem afetados pelo veneno, criando uma falsa sensação de proteção por parte das pessoas
que acreditam que o problema foi resolvido.
A partir deste contexto, é CORRETO o que se afirma em:
A partir deste contexto, é CORRETO o que se afirma em:
Provas
Questão presente nas seguintes provas
- EcologiaEcologia de Populações e EcossistemasCadeias e teias alimentares
- Níveis de organização da vida
No Brasil, há uma espécie de aranha do gênero Synemosina da familia Salticidae, comumente encontrada em formigueiros. Há uma semelhança morfológica entre as duas espécies, além de comportamentos atípicos para aranhas, tais como levantar o primeiro ou o
segundo par de patas quando se deslocam no formigueiro, como se fossem as antenas das formigas. Além de ter alimento em
abundância, estas aranhas encontram-se abrigadas contra vários tipos de predadores.
Este é um exemplo de:
Este é um exemplo de:
Provas
Questão presente nas seguintes provas
Ao analisar a história da vida na Terra conclui-se que houve procariotos anaeróbios que se originaram, proliferaram e declinaram
quando mudou a concentração de oxigênio na atmosfera. Também se infere que os anfíbios, originaram-se dos primeiros tetrápodes
que ganharam os continentes saindo do mar, dominando o ambiente terrestre até serem depostos por outros tetrápodes, como
dinossauros. Por fim, mais recentemente, temos os mamíferos como vertebrados terrestres dominantes. Ao considerarmos estes
eventos com mais detalhes é CORRETO afirmar que apogeu e queda destes organismos estão relacionados com as taxas de especiação
e de extinção, que são influenciadas por processos em grande escala, como radiação adaptativa.
Sobre este contexto afirma-se que:
I- Houve processo evolutivo, em que uma espécie se dividiu em duas ou mais.
II- Ocorreram períodos de mudança evolutiva nos quais os grupos de organismos formaram várias espécies novas, cujas adaptações lhes permitiram preencher papeis ecológicos ou de nichos nas suas comunidades.
III- Houve organismos com rota catabólica, na qual moléculas inorgânicas, com exceção do oxigênio, recebem elétrons no final das cadeias de transporte de elétrons.
É CORRETO o que se afirma em:
Sobre este contexto afirma-se que:
I- Houve processo evolutivo, em que uma espécie se dividiu em duas ou mais.
II- Ocorreram períodos de mudança evolutiva nos quais os grupos de organismos formaram várias espécies novas, cujas adaptações lhes permitiram preencher papeis ecológicos ou de nichos nas suas comunidades.
III- Houve organismos com rota catabólica, na qual moléculas inorgânicas, com exceção do oxigênio, recebem elétrons no final das cadeias de transporte de elétrons.
É CORRETO o que se afirma em:
Provas
Questão presente nas seguintes provas
As propagandas das rações super premium enfatizam que sua ingesta resulta fezes menos volumosas, com odor mais fraco e melhor formadas, quando comparadas às fezes de animais que se alimentam de rações de qualidade inferior.
Considerando estas informações, analise as asserções a seguir e a relação entre elas.
I- A qualidade deste tipo de ração está relacionada a sua composição nutricional, que é superiormente digerível em relação as rações consideradas de qualidade inferior.
PORQUE
II- Quanto maior for a qualidade nutricional do alimento e da sua digestibilidade, menor será a quantidade de fezes, já que as fezes são formadas por parte da alimentação indigerível.
A respeito dessas asserções, assinale a opção CORRETA.
Considerando estas informações, analise as asserções a seguir e a relação entre elas.
I- A qualidade deste tipo de ração está relacionada a sua composição nutricional, que é superiormente digerível em relação as rações consideradas de qualidade inferior.
PORQUE
II- Quanto maior for a qualidade nutricional do alimento e da sua digestibilidade, menor será a quantidade de fezes, já que as fezes são formadas por parte da alimentação indigerível.
A respeito dessas asserções, assinale a opção CORRETA.
Provas
Questão presente nas seguintes provas
- Biologia CelularCitologiaCiclo CelularNúcleo interfásico e código genético
- GenéticaAspectos Básicos e Leis de Mendel
- GenéticaHereditariedade
- Moléculas, células e tecidos
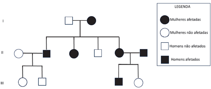
Observe o heredograma com 3 gerações de famílias representadas.

A partir do heredograma, analise as afirmações abaixo.
I- A doença que afeta as pessoas não é ligada ao cromossomo X, já que há homens afetados em duas gerações diferentes.
II- As pessoas afetadas destas famílias possuem uma doença autossômica dominante, já que o casal composto por um homem e uma mulher afetados apresenta fenótipo diferente de seus descendentes.
III- Uma vez que há mulheres afetadas nestas famílias, a doença não pode ser ligada ao cromossomo Y.
IV- A doença que afeta a família é recessiva, já que o casal composto por um homem afetado com uma mulher não afetada gerou descentes não afetados.
É CORRETO o que se afirma apenas em:

A partir do heredograma, analise as afirmações abaixo.
I- A doença que afeta as pessoas não é ligada ao cromossomo X, já que há homens afetados em duas gerações diferentes.
II- As pessoas afetadas destas famílias possuem uma doença autossômica dominante, já que o casal composto por um homem e uma mulher afetados apresenta fenótipo diferente de seus descendentes.
III- Uma vez que há mulheres afetadas nestas famílias, a doença não pode ser ligada ao cromossomo Y.
IV- A doença que afeta a família é recessiva, já que o casal composto por um homem afetado com uma mulher não afetada gerou descentes não afetados.
É CORRETO o que se afirma apenas em:
Provas
Questão presente nas seguintes provas
Cadernos
Caderno Container