Magna Concursos

Foram encontradas 40 questões.

3947744 Ano: 2025
Disciplina: Matemática Financeira
Banca: INDEC
Orgão: Pref. Araras-SP
Provas:
Um capital foi aplicado a juros compostos, com uma taxa de 20% ao ano, durante 3 anos. Se o montante acumulado ao final do período foi de R$8.640,00, o valor do capital inicial aplicado era de:
 

Provas

Questão presente nas seguintes provas
3947743 Ano: 2025
Disciplina: Matemática
Banca: INDEC
Orgão: Pref. Araras-SP
Provas:
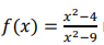
A função Enunciado 4804152-1representa, em um modelo de negócios, o lucro por unidade vendida de um produto em relação a um fator de custo x. A única restrição para o valor de é que o denominador da função não seja nulo. O domínio desta função, em que é um número real, é o conjunto de todos os números reais, exceto os valores:
 

Provas

Questão presente nas seguintes provas
3947742 Ano: 2025
Disciplina: Matemática
Banca: INDEC
Orgão: Pref. Araras-SP
Provas:
Uma equipe de 40 operários, trabalhando com a mesma capacidade, leva 15 dias para construir uma casa. Para otimizar o tempo e entregar a obra em um prazo menor, uma nova equipe foi contratada e o número total de operários foi aumentado em 50%. A quantidade de dias que a nova equipe levará para concluir a mesma obra é de:
 

Provas

Questão presente nas seguintes provas
3947741 Ano: 2025
Disciplina: Matemática
Banca: INDEC
Orgão: Pref. Araras-SP
Provas:
Um engenheiro de construção civil precisa calcular o perímetro de um canteiro de obras triangular. Os lados do canteiro, em metros, são dados pelas expressões √200, √50 e √98  . O perímetro total do canteiro de obras, em metros, corresponde a:
 

Provas

Questão presente nas seguintes provas
3947740 Ano: 2025
Disciplina: Matemática
Banca: INDEC
Orgão: Pref. Araras-SP
Provas:
Uma construtora estabeleceu que o tempo de execução de um projeto é inversamente proporcional ao número de operários contratados, e o consumo de cimento é diretamente proporcional à área da fundação. Em uma obra inicial, uma equipe de 8 operários levou 15 dias para construir uma fundação de 120 m², utilizando 60 sacos de cimento. Para um novo projeto, a empresa precisa construir uma fundação de 150 m² com a mesma urgência, com o prazo de 10 dias. A soma do número de operários necessários para o novo projeto e a quantidade de sacos de cimento que serão utilizados corresponde a:
 

Provas

Questão presente nas seguintes provas
3947739 Ano: 2025
Disciplina: Matemática
Banca: INDEC
Orgão: Pref. Araras-SP
Provas:
Uma empresa de transporte de cargas cobra de seus clientes um valor fixo de R$150,00 por entrega, acrescido de R$0,50 por quilograma transportado. Uma nova política de preços estabelece que, para cargas entre 100 kg e 500 kg, o valor total da entrega será sempre o mesmo. O valor cobrado por uma carga de 350 kg, sob esta nova política, é de:
 

Provas

Questão presente nas seguintes provas
3947738 Ano: 2025
Disciplina: Matemática
Banca: INDEC
Orgão: Pref. Araras-SP
Provas:
Um arquiteto projeta um jardim retangular cuja área total será de 144 m2. Por uma necessidade de paisagismo, a largura do jardim deve ter um valor numérico equivalente à metade do comprimento, ambos em metros. As dimensões do jardim devem ser ajustadas, mantendo a proporcionalidade, de forma que o novo comprimento e a nova largura somem 36 metros. A nova área do jardim será de:
 

Provas

Questão presente nas seguintes provas
3947737 Ano: 2025
Disciplina: Matemática
Banca: INDEC
Orgão: Pref. Araras-SP
Provas:
Para um evento cultural, a área total de um salão é de 300 m2. O projeto de decoração alocou 3/5 da área total para o espaço de exposições de arte. Desse espaço, 2/3 foram destinados à exposição de esculturas, e o restante, a quadros. A área reservada aos quadros, em metros quadrados, corresponde a:
 

Provas

Questão presente nas seguintes provas
3947736 Ano: 2025
Disciplina: Matemática
Banca: INDEC
Orgão: Pref. Araras-SP
Provas:
Uma empresa contrata prestadores de serviço com diferentes valores horários. Se o total gasto com 5 prestadores durante 8 horas foi de R$4.800,00 e o custo de cada prestador é proporcional às suas horas trabalhadas, determine o valor cobrado por hora de um prestador que trabalhou 10 horas, sabendo que os demais mantiveram o mesmo custo-hora.
 

Provas

Questão presente nas seguintes provas
3947735 Ano: 2025
Disciplina: Português
Banca: INDEC
Orgão: Pref. Araras-SP
“Surgiu uma nova droga no tráfico ilegal”. O sujeito da oração deve ser classificado como um:
 

Provas

Questão presente nas seguintes provas