Foram encontradas 40 questões.
Um sexto de uma comunidade é constituída de nordestinos. Desses nordestinos, um quarto é paraibano. Assinale a opção correspondente ao número de paraibanos dessa comunidade.
Provas
A soma de três números naturais consecutivos é um número
Provas
1km vale
Provas
João tinha R$ 1500,00. Ele emprestou 1/5 dessa quantia para seu irmão. Quantos reais sobraram para ele?
Provas
Sabendo-se que um dia equivale a 24 horas, 1,6 dia equivale a
Provas
Uma chapa metálica tem 0,15 metro quadrado. Quanto mede a sua área em centímetros quadrados?
Provas
Determine o valor de: 15,8 m + 0,15 hm + 32,8 dam + 0,8 km.
Provas
A soma dos inversos de dois números é 1. Se um deles é 7/2, o outro é
Provas
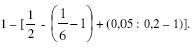
Assinale a alternativa que apresenta o valor da seguinte expressão: 
Provas
Considere o número 2121213421x onde x representa o algarismo das unidades. Se esse número é divisível por 4, então o valor máximo que pode assumir é
Provas
Caderno Container