Foram encontradas 40 questões.
Dividindo-se dois números naturais m e n por 5 e
6, respectivamente, obtém-se o mesmo quociente
e resto zero em ambas as divisões. Se o produto
do MMC pelo MDC desses dois números é igual a
5.070, a soma dos algarismos de (m + n) é:
Provas
Questão presente nas seguintes provas
Um professor de Matemática escreveu as 200
primeiras casas decimais do resultado da divisão
de 61 por 495. A soma dos 200 algarismos escritos
pelo professor é igual a:
Provas
Questão presente nas seguintes provas
Considere o conjunto A, cujos elementos são todos
os números de cinco algarismos distintos, que
podem ser formados com os algarismos 1, 2, 3, 4,
5 e 6. Retirando-se ao acaso um número do
conjunto A, a probabilidade de que seja um
número maior do que 30.000 é:
Provas
Questão presente nas seguintes provas
A média harmônica das raízes da equação x³ + 2x²
+ x + m = 0 é igual a 6. O número real m é igual a:
Provas
Questão presente nas seguintes provas
Uma lista contém cinco números distintos.
Somando-se a cada um deles a mediana desses
cinco números, obtém-se os números 12, 14, 18,
19 e 23. A média aritmética dos cinco números da
lista inicial é igual a:
Provas
Questão presente nas seguintes provas
Um polígono regular tem 100 diagonais que
passam pelo seu centro. Logo, a diferença, em
graus, entre a medida de um ângulo interno e de
um ângulo externo do polígono é:
Provas
Questão presente nas seguintes provas
Considere o paralelepípedo retângulo ABCDEFGH
representado na figura a seguir e P e Q como
pontos pertencentes, respectivamente, às arestas
EH e FG de modo que o segmento PQ seja
paralelo à aresta HG.
Dados:
med(AB) = 3 cm med(EH) = 6 cm med(CG) = (x + 2) cm med(EP) = x cm
Se o volume do sólido ABFEPQ corresponde a 20% do volume do paralelepípedo, então a área total desse paralelepípedo, em cm², é:
Dados:
med(AB) = 3 cm med(EH) = 6 cm med(CG) = (x + 2) cm med(EP) = x cm
Se o volume do sólido ABFEPQ corresponde a 20% do volume do paralelepípedo, então a área total desse paralelepípedo, em cm², é:
Provas
Questão presente nas seguintes provas
Se S é a soma de todos os divisores positivos de
105 que não são primos e P é a soma de todos os
divisores positivos de 105 que são primos, a
diferença S – P é igual a:
Provas
Questão presente nas seguintes provas
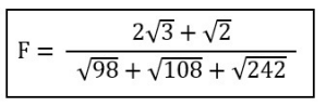
Considere a igualdade a seguir:

Se √6 = m, tem-se que F é igual a:
Provas
Questão presente nas seguintes provas
Se a área da secção meridiana de um cone
equilátero é igual a M, a área lateral desse cone é:
Provas
Questão presente nas seguintes provas
Cadernos
Caderno Container