Foram encontradas 30 questões.
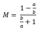
Considere a lei de formação a seguir:

Assinale a alternativa que apresenta o valor de M para
e b = -3.
Provas
O gráfico a seguir apresenta dados de uma pesquisa realizada com estudante do período noturno de determinada escola. Observe que na pesquisa os estudantes informaram suas idades e se trabalhavam ou não.

Sabendo que um desses estudantes foi escolhido ao acaso, analise as seguintes afirmações:
I. A probabilidade desse estudante não trabalhar é de 55%.
II. A probabilidade desse estudante ter 18 anos ou mais é de 30%.
III. Sabendo, antecipadamente, que esse estudante trabalha, a probabilidade dele ser menor de 18 anos é maior que 80%.
Sobre as afirmativas apresentadas acerca dos dados do gráfico pode-se concluir que
Provas
Em uma progressão aritmética sabe-se que o quinto termo é igual a 63 e o sétimo termo é igual a 77.
A soma do vigésimo sexto termo com o trigésimo nono termo desta P.A. é um número
Provas
O gráfico a seguir representa o resultado de uma pesquisa feita com 170 pessoas com o intuito de verificar suas preferências acerca de três marcas de sabonetes especificadas por M, N e P.

Nessa pesquisa cada pessoa entrevistada poderia escolher uma única marca de sabonete, duas das marcas, as três marcas pesquisadas ou dizerem que não gostaram das marcas.
De acordo com as informações apresentadas a quantidade de pessoas que não gostaram de nenhuma das marcas pesquisadas é um número
Provas
Uma empresa especializada em rotular latas de embutidos possui 9 máquinas de um mesmo modelo, que trabalhando por 10 horas diárias rotulam 64.800 latas de ervilhas em 4 dias. Para uma demanda específica essa empresa utilizou 7 dessas máquinas, que funcionaram 8 horas por dia, durante 7 dias.
A quantidade de latas que foram rotuladas nesse período, admitindo que foi mantido o mesmo padrão de produção, é igual a
Provas
Admita um paralelepípedo vazado cujo representação é dada na figura 1 com todas as dimensões dadas em metros.

A figura 2 representa o sólido que foi retirado do paralelepípedo, com suas respectivas dimensões.
A expressão que determina a medida do volume (V) deste paralelepípedo é dada por
Provas
Considere o retângulo e o paralelepípedo representados pelas figuras 1 e 2, respectivamente.

Admita todas as dimensões em centímetros e a medida da área do retângulo igual a 45 cm2 .
A medida do volume do paralelepípedo é igual a
Provas
Uma loja especializada em ferramentas de trabalho manual vendeu 93 alicates de um mesmo modelo. Sabe que a quantidade vendida corresponde à 30% do total de alicates que haviam no estoque.
Se cada alicate é vendido a R$ 13,50 o total da venda de todos os alicates será uma quantia, em reais, definida no intervalo
Provas
Meus oito anos
Casimiro de Abreu
Oh! que saudades que tenho
Da aurora da minha vida,
Da minha infância querida
Que os anos não trazem mais!
Que amor, que sonhos, que flores,
Naquelas tardes fagueiras
sombra das bananeiras,
Debaixo dos laranjais!
Como são belos os dias
Do despontar da existência!
— Respira a alma inocência
Como perfumes a flor;
O mar é — lago sereno,
O céu — um manto azulado,
O mundo — um sonho dourado,
A vida — um hino d'amor!
Que aurora, que sol, que vida,
Que noites de melodia
Naquela doce alegria,
Naquele ingênuo folgar!
O céu bordado d'estrelas,
A terra de aromas cheia
As ondas beijando a areia
E a lua beijando o mar!
Oh! dias da minha infância!
Oh! meu céu de primavera!
Que doce a vida não era
Nessa risonha manhã!
Em vez das mágoas de agora,
Eu tinha nessas delícias
De minha mãe as carícias
E beijos de minha irmã!
Livre filho das montanhas,
Eu ia bem satisfeito,
Da camisa aberta o peito,
— Pés descalços, braços nus
— Correndo pelas campinas
A roda das cachoeiras,
Atrás das asas ligeiras
Das borboletas azuis!
Naqueles tempos ditosos
Ia colher as pitangas,
Trepava a tirar as mangas,
Brincava à beira do mar;
Rezava às Ave-Marias,
Achava o céu sempre lindo.
Adormecia sorrindo
E despertava a cantar!
[...]
Provas
Meus oito anos
Casimiro de Abreu
Oh! que saudades que tenho
Da aurora da minha vida,
Da minha infância querida
Que os anos não trazem mais!
Que amor, que sonhos, que flores,
Naquelas tardes fagueiras
sombra das bananeiras,
Debaixo dos laranjais!
Como são belos os dias
Do despontar da existência!
— Respira a alma inocência
Como perfumes a flor;
O mar é — lago sereno,
O céu — um manto azulado,
O mundo — um sonho dourado,
A vida — um hino d'amor!
Que aurora, que sol, que vida,
Que noites de melodia
Naquela doce alegria,
Naquele ingênuo folgar!
O céu bordado d'estrelas,
A terra de aromas cheia
As ondas beijando a areia
E a lua beijando o mar!
Oh! dias da minha infância!
Oh! meu céu de primavera!
Que doce a vida não era
Nessa risonha manhã!
Em vez das mágoas de agora,
Eu tinha nessas delícias
De minha mãe as carícias
E beijos de minha irmã!
Livre filho das montanhas,
Eu ia bem satisfeito,
Da camisa aberta o peito,
— Pés descalços, braços nus
— Correndo pelas campinas
A roda das cachoeiras,
Atrás das asas ligeiras
Das borboletas azuis!
Naqueles tempos ditosos
Ia colher as pitangas,
Trepava a tirar as mangas,
Brincava à beira do mar;
Rezava às Ave-Marias,
Achava o céu sempre lindo.
Adormecia sorrindo
E despertava a cantar!
[...]
Provas
Caderno Container