Foram encontradas 40 questões.
Segundo disposições do Art. 20 da Lei nº 13.022/2014, é reconhecida a
representatividade das Guardas Municipais nos seguintes órgãos colegiados:
I. Conselho Nacional de Segurança Pública. II. Conselho Nacional das Guardas Municipais. III. Conselho Nacional de Secretários e Gestores Municipais de Segurança Pública.
Quais estão corretos?
I. Conselho Nacional de Segurança Pública. II. Conselho Nacional das Guardas Municipais. III. Conselho Nacional de Secretários e Gestores Municipais de Segurança Pública.
Quais estão corretos?
Provas
Questão presente nas seguintes provas

Provas
Questão presente nas seguintes provas

Provas
Questão presente nas seguintes provas

Provas
Questão presente nas seguintes provas

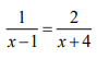
O valor de “x” que resolve a proporção
é :
Provas
Questão presente nas seguintes provas

(Disponível em: https://claudia.abril.com.br/ - texto adaptado especialmente para esta prova.)
Provas
Questão presente nas seguintes provas

(Disponível em: https://claudia.abril.com.br/ - texto adaptado especialmente para esta prova.)
Provas
Questão presente nas seguintes provas

(Disponível em: https://claudia.abril.com.br/ - texto adaptado especialmente para esta prova.)
Provas
Questão presente nas seguintes provas

(Disponível em: https://claudia.abril.com.br/ - texto adaptado especialmente para esta prova.)
I. De um modo geral, o texto visa a responder a pergunta colocada em seu título.
II. A autora se vale de sua experiência pessoal para exemplificar como se pode despertar o interesse de uma criança pela leitura.
III. Para a autora, a única forma correta de se iniciar uma criança no mundo da leitura é através de textos literários.
Quais estão corretas?
Provas
Questão presente nas seguintes provas

(Disponível em: https://claudia.abril.com.br/ - texto adaptado especialmente para esta prova.)
Provas
Questão presente nas seguintes provas
Cadernos
Caderno Container