Foram encontradas 40 questões.
De acordo com a tira a seguir, a alternativa CORRETA é:

Disponível em: <https://www.instagram.com/dona.anesia/>. Acesso em: 03 mai.2024.
Provas
O artigo a seguir serve de base para as questões 1, 2 e 3:
USP usa técnica da ovelha Dolly para fazer transplante de porcos em humanos
Esperança é de que, no futuro, abordagem diminua tempo de espera por um novo órgão.
Reinaldo José Lopes
SÃO CARLOS (SP)
Pesquisadores da USP (Universidade de São Paulo) acabam de inaugurar um laboratório que, com alguma sorte, poderá viabilizar a prática dos xenotransplantes (transplantes de órgãos de animais para seres humanos) no Brasil.
Médicos, geneticistas e veterinários, entre outros especialistas, usarão o espaço para abrigar porcas grávidas de filhotes geneticamente modificados. As alterações no DNA dos suínos servem para minimizar o risco de rejeição quando seus órgãos forem transferidos para pessoas que precisam de um transplante.
Os primeiros testes bem-sucedidos já aparecem nos últimos anos em pacientes dos EUA, e a esperança é que, no futuro, a abordagem encurte o tempo de espera por um novo órgão, talvez dispensando, em alguns casos, a necessidade de um doador humano. Antes que isso se torne realidade, porém, é preciso vencer uma gama considerável de desafios técnicos, a começar pela reprodução dos próprios suínos.
No papel, a abordagem parece simples. O material genético no núcleo de células fetais de porcos é alterado e, depois, transferido para óvulos suínos cujo DNA foi retirado.
"Estamos usando a técnica que deu origem à ovelha Dolly", resume Mayana Zatz, geneticista do Centro de Estudos do Genoma Humano e de Células-Tronco da USP, uma das coordenadoras do projeto Xeno BR.
O problema é que, mesmo quase 30 anos após o nascimento de Dolly, o primeiro mamífero clonado, produzir cópias genéticas de qualquer animal doméstico ainda é um processo complexo. A clonagem sempre envolve o uso de centenas ou até milhares de óvulos para, se tudo der certo, ocorrer o nascimento de um filhote viável.
"Sabemos que a eficiência é baixa, mas estamos aprendendo que a qualidade das células a serem editadas geneticamente pode ter um papel importante no sucesso", diz Zatz. A equipe está sendo assessorada por Luiz Mauro Queiroz, brasileiro responsável pela criação dos porcos transgênicos (geneticamente modificados) da empresa eGenesis nos EUA. A equipe americana já realizou seus primeiros transplantes suíno-humanos.
Também ainda não está totalmente claro quantas modificações no DNA são necessárias para que os órgãos de porcos sejam substitutos aceitáveis daqueles doados por pessoas.
[...]
"Alguns grupos acreditam que seja suficiente silenciar três genes [grosso modo, regiões funcionais do DNA] dos porcos, o que tem sido a nossa proposta. Outros defendem que um só gene poderia ser suficiente ou que seja necessário introduzir genes humanos", diz a geneticista. "Somente com o seguimento dos pacientes a longo prazo será possível responder essa pergunta.
"O cirurgião Silvano Raia, da Faculdade de Medicina da USP, coordena o trabalho ao lado de Zatz e diz que o objetivo inicial do trabalho é viabilizar um xenotransplante de rim, como já aconteceu nos EUA.
"Na hipótese de insucesso, podemos retirar o xenoenxerto não funcionante e fazer com que o paciente volte a fazer hemodiálise até que esteja em condições de receber um alotransplante [de um doador humano], para o qual terá uma prioridade que não tinha antes do xenotransplante", explica Raia.
Esse primeiro candidato a receptor precisará ter condições clínicas para receber o órgão do suíno geneticamente modificado e, ao mesmo tempo, não ter prioridade na lista de espera por um órgão humano. "Os xenotransplantes já realizados de coração e rim seguiram essa conduta."
De acordo com Raia, ainda é cedo para dizer se o avanço da técnica vai acabar equiparando os xenotransplantes, em termos de sucesso e riscos, aos feitos hoje com as técnicas convencionais, embora essa possibilidade exista.
Ao menos por ora, os pacientes que receberem os órgãos suínos deverão ter de enfrentar um esquema imunossupressor mais potente e constante. Ou seja, eles farão um uso mais intenso de medicamentos que controlam o sistema de defesa de seu organismo, para que ele não rejeite o transplante como um corpo estranho.
"Em consequência disso, a possibilidade de esse paciente se contaminar será maior, sem dúvida. Ele terá de seguir recomendações que evitem ao máximo o contato com fontes de infecção", observa o médico.
Raia lembra ainda que pesquisas feitas anteriormente no Brasil com candidatos na fila por rim ou fígado que já tinham recebido novos órgãos mostram que 91% aceitariam um xenotransplante suíno caso fosse necessário, taxa superior à de países como a China (75%) e Turquia (43%).
Disponível em: <https://www1.folha.uol.com.br/equilibrioesaude/2024/05/usp-se-prepara-para-fazer-transplantes-de-orgaos-de-porcos-para-humanos.shtml>. Acesso em: 03 mai. 2024.
Considere o seguinte trecho do artigo em questão:
"Alguns grupos acreditam que seja suficiente silenciar três genes [grosso modo, regiões funcionais do DNA] dos porcos, o que tem sido a nossa proposta. Outros defendem que um só gene poderia ser suficiente ou que seja necessário introduzir genes humanos", diz a geneticista. "Somente com o seguimento dos pacientes a longo prazo será possível responder essa pergunta."
O cirurgião Silvano Raia, da Faculdade de Medicina da USP, coordena o trabalho ao lado de Zatz e diz que o objetivo inicial do trabalho é viabilizar um xenotransplante de rim, como já aconteceu nos EUA.
"Na hipótese de insucesso, podemos retirar o xenoenxerto não funcionante e fazer com que o paciente volte a fazer hemodiálise até que esteja em condições de receber um alotransplante [de um doador humano], para o qual terá uma prioridade que não tinha antes do xenotransplante", explica Raia.
Esse primeiro candidato a receptor precisará ter condições clínicas para receber o órgão do suíno geneticamente modificado e, ao mesmo tempo, não ter prioridade na lista de espera por um órgão humano. "Os xenotransplantes já realizados de coração e rim seguiram essa conduta."
Assinale a alternativa CORRETA:
Provas
Para celebrar a chegada da primavera, Carolina decidiu decorar seu jardim com três tipos de flores: rosas, lírios e margaridas. Sabe-se que Carolina plantou margaridas em 3/5 da área destinada ao jardim. Além disso, ela plantou lírios em 3/4 da área restante, e nos 3 m² que sobraram, ela plantou rosas. Com base nessas informações, determine a área total de plantio, em metros quadrados, do jardim de Carolina.
Provas
Um grupo de amigos organizou uma excursão para assistir à final da competição de ginástica artística por equipes nas Olimpíadas de Paris 2024. Dentre as pessoas presentes na excursão, as seguintes observações foram feitas:
• 11 indivíduos torceram pela equipe dos Estados Unidos.
• 15 indivíduos torceram pela equipe do Brasil.
• 13 indivíduos torceram pela equipe da Itália.
• 3 indivíduos torceram simultaneamente pelos Estados Unidos e pelo Brasil, mas não pela Itália.
• 6 indivíduos torceram simultaneamente pelo Brasil e pela Itália, mas não pelos Estados Unidos.
• 5 indivíduos torceram simultaneamente pelos Estados Unidos e pela Itália, mas não pelo Brasil.
• 2 indivíduos não torceram por nenhuma das equipes mencionadas.
Considerando que o total de pessoas presentes na excursão era de 25, determine o número de indivíduos que torceu para as três equipes simultaneamente.
Provas
Uma galeria de arte que está fechando decidiu distribuir o valor total de R$ 384.000,00 entre três artistas cujas obras foram exibidas por 4, 8 e 12 anos na galeria. O valor recebido por cada artista será proporcional ao tempo em que suas obras estiveram em exibição. Quanto recebeu o artista cuja obra foi exibida por menos tempo?
Provas
Qual das alternativas abaixo corresponde aos valores lógicos omissos (de cima para baixo) da última coluna da tabela-verdade abaixo, onde V representa a verdade e F a falsidade?

Provas
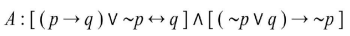
Sejam p e q duas proposições verdadeiras. Qual o valor lógico da proposição a seguir?
![]()
Provas
Com base na propaganda que se segue, marque a alternativa CORRETA.

Disponível em: <https://www.politize.com.br/propaganda-institucional-tse/>. Acesso em: 04 mai. 2024.
Provas
Leia com atenção a tira a seguir:

Disponível em: <https://www.instagram.com/p/C5CcfrcreEF/>. Acesso em: 04 mai. 2024.
A partir da leitura do texto, é CORRETO afirmar que:
Provas
- SintaxeFrase, Oração e PeríodoOração CoordenadaOrações Coordenadas Sindéticas
- SintaxeFrase, Oração e PeríodoOração CoordenadaOrações Coordenadas Assindéticas
- SintaxeFrase, Oração e PeríodoOração SubordinadaSubordinada Adjetiva
- SintaxeFrase, Oração e PeríodoOração SubordinadaSubordinada Substantiva
O artigo a seguir serve de base para as questões 7, 8 e 9:
Se a radiação pode causar câncer, por que a radioterapia é usada contra o câncer?
O câncer surge devido a células “quebradas” – e o que a radioterapia faz é quebrá-las ainda mais
Por Bruno Vaiano
Atualizado em 25 jul 2022, 10h24 - Publicado em 18 fev 2022, 07h45
Um tumor aparece quando as células de um tecido ou órgão do nosso próprio corpo começam a se multiplicar de maneira descontrolada. Elas invadem o espaço das células saudáveis, roubam seus insumos (como açúcar e oxigênio) e interferem no funcionamento do organismo.
Isso é possível porque as células anômalas têm mutações no DNA que tiram suas rédeas. Essas mutações são, em princípio, aleatórias: todos estamos sujeitos a um bug genético. Mas é claro que, se você não se cuidar, suas chances pioram. Álcool, tabaco, exposição exagerada ao sol, e outros comportamentos nocivos aumentam as chances de se desenvolver um câncer (alguns cânceres, vale dizer, são mais suscetíveis a estilo de vida enquanto outros dependem mais dos genes que vêm de fábrica com você: herdabilidade também é importante).
Acontece que há um limite para o quanto uma célula pode funcionar quando ela dá defeito. A maior parte das mutações é ruim e debilita ou mata a célula. A ideia da radioterapia é causar tantas mutações no DNA das células cancerígenas que elas simplesmente morrem. Em resumo: o câncer consiste em células quebradas, a radiografia continua quebrando as células até elas simplesmente pararem de funcionar.
Disponível em:<https://super.abril.com.br/coluna/oraculo/se-a-radiacao-pode-causar-cancer-por-que-a-radioterapia-e-usada-contra-o-cancer/> . Acesso em: 03 mai. 2024.
Ainda considerando o período composto, é CORRETO afirmar, quanto às orações que o compõem, que:

Provas
Caderno Container