Foram encontradas 38 questões.
Disciplina: Legislação de Trânsito
Banca: IBFC
Orgão: Pref. Cabo Santo Agostinho-PE
Leia o excerto abaixo retirado do Código de Trânsito Brasileiro.
Art. 252 - Dirigir o veículo:
V. com apenas uma das mãos, exceto quando deva fazer sinais regulamentares de braço, mudar a marcha do veículo, ou acionar equipamentos e acessórios do veículo.
VI. utilizando-se de fones nos ouvidos conectados a aparelhagem sonora ou de telefone celular.
Infração – média.
Penalidade - multa.
Parágrafo único. A hipótese prevista no inciso V caracterizar-se-á como infração gravíssima no caso de o condutor estar segurando ou manuseando telefone celular.
Quanto à conclusão, assinale a alternativa correta.
Provas
Disciplina: Raciocínio Lógico
Banca: IBFC
Orgão: Pref. Cabo Santo Agostinho-PE
- Lógica ProposicionalEquivalências Lógicas
- Lógica ProposicionalNegação de Proposições CompostasLeis de De Morgan
Analise a proposição abaixo adaptada das reflexões sobre o tempo do pensador cristão Santo Agostinho em sua obra “As confissões”.
“Se eu quero explicar o que é o tempo, então vejo que não sei explicar o que ele é.”
Assinale a alternativa que corretamente indica a negação desta proposição composta.
Provas
Disciplina: Raciocínio Lógico
Banca: IBFC
Orgão: Pref. Cabo Santo Agostinho-PE
- Lógica ProposicionalEquivalências Lógicas
- Lógica ProposicionalNegação de Proposições CompostasLeis de De Morgan
Considere a proposição composta a abaixo.
“Se a verdade existe então a razão pode acessá-la.”
Quanto à correta negação dessa proposição, assinale a alternativa correta.
Provas
Disciplina: Raciocínio Lógico
Banca: IBFC
Orgão: Pref. Cabo Santo Agostinho-PE
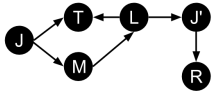
Leia o trecho abaixo retirado do poema Quadrilha de Carlos Drummond de Andrade.
João amava Teresa que amava Raimundo que
amava Maria que amava Joaquim que amava Lili
que não amava ninguém.
Uma pessoa representa por meio de um diagrama lógico estes versos, conforme abaixo.

A partir dessa representação foi proposto um novo poema.

Assinale a alternativa correta quanto a uma construção que é compatível com o diagrama e a lógica que incorpora.
Provas
( ) O número de times possíveis de serem firmados é 70. ( ) A probabilidade de Jorge estar no time do goleiro Roberto é 50%. ( ) Se além dos goleiros já foram escolhidos dois jogadores em cada time o número de possíveis times é 6.
Assinale a alternativa que apresenta a sequência correta de cima para baixo.
Provas
Disciplina: Raciocínio Lógico
Banca: IBFC
Orgão: Pref. Cabo Santo Agostinho-PE
Analise a proposição composta abaixo, adaptada do poema Permanência, de Carlos Drummond de Andrade.
Se dia virá que nenhum será lembrado, então no mesmo esquecimento se fundirão.
Dentre as alternativas abaixo, assinale a que contém a correta equivalência dessa proposição.
Provas
Disciplina: Raciocínio Lógico
Banca: IBFC
Orgão: Pref. Cabo Santo Agostinho-PE
- Lógica ProposicionalEquivalências Lógicas
- Lógica ProposicionalNegação de Proposições CompostasLeis de De Morgan
Leia a proposição composta abaixo.
“O céu não é rosa e as árvores não são azuis.”
Dentre as alternativas abaixo, assinale a que contém a correta negação dessa proposição.
Provas
Disciplina: Raciocínio Lógico
Banca: IBFC
Orgão: Pref. Cabo Santo Agostinho-PE
Leia atentamente: Bolas iguais numeradas em ordem crescente de 1 a 20 são postas em uma urna opaca. 10 Bolas são azuis e 10 Bolas são vermelhas. Sendo assim, analise as afirmativa abaixo:
I. A probabilidade de, em um sorteio aleatório, ser retirada da urna uma bola azul é de uma em duas, ou seja 50%.
II. Se 10 bolas da urna forem retiradas em sequência, sem reposição, e todas são azuis, então o sorteio é provavelmente viciado.
III. Se 19 Bolas forem retiradas sem reposição, então a última bola na urna é conhecida.
Quanto ao fundamento, em termos do raciocínio lógico utilizado, assinale a alternativa correta.
Provas
Disciplina: Raciocínio Lógico
Banca: IBFC
Orgão: Pref. Cabo Santo Agostinho-PE
Considere o excerto abaixo.
“Quando o céu está azul não chove. Se o céu está azul agora,
então não choverá até o final do dia”
Assinale a alternativa que classifica corretamente a lógica adotada na argumentação exposta.
Provas
Disciplina: Raciocínio Lógico
Banca: IBFC
Orgão: Pref. Cabo Santo Agostinho-PE
- Lógica ProposicionalEquivalências Lógicas
- Lógica ProposicionalNegação de Proposições CompostasLeis de De Morgan
Considere a proposição composta abaixo.
“João vai ao trabalho de ônibus ou João vai de trem.”
Dentre as alternativas abaixo, assinale aquela que contém a correta negação dessa proposição.
Provas
Caderno Container