Foram encontradas 39 questões.

Provas

Provas

Provas
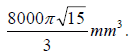
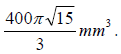
Um cone circular reto, com base de raio 20mm, possui área lateral igual ao quádruplo da área da base. É possível afirmar que o volume é
Provas

Assinale a alternativa que representa o número de pessoas que não sabiam responder ou não responderam à questão 2.
Provas

É possível afirmar que o número de pessoas que citou que utiliza o celular para fazer ligações de longa distância, quando está fora de seu local de trabalho, é
Provas
- FundamentosAnálise de Tabelas e GráficosGráfico de Setores (ou de Pizza)
- Estatística DescritivaMedidas de DispersãoAmplitude

O gráfico de setores é empregado sempre que desejamos ressaltar a participação do dado no total. Os setores são tais que suas áreas são, respectivamente, proporcionais aos dados da série. O ângulo correspondente para a resposta “nenhuma desvantagem”, destacada no gráfico acima, é, aproximadamente,
Provas
Em determinado país, a assinatura mensal de um telefone fixo é $28,00 e cada minuto utilizado custa $1,75. Para que sua conta não ultrapasse $98,00, o limite máximo de minutos que uma pessoa pode usar durante um mês será
Provas

Provas

Provas
Caderno Container