Foram encontradas 32 questões.
Três enfermeiros dividem a tarefa de provisão de material e equipamentos necessários às ações de enfermagem em partes inversamente proporcionais ao tempo de serviço. Se para esta tarefa são dispensadas 44 horas por semana, e os tempos de serviço são 3, 6 e 9 anos, então o enfermeiro que tem mais tempo de serviço dedica
Provas

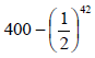
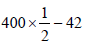
Um medicamento cuja meia-vida é de 6 horas é ministrado em doses de 400mg cada. Assinale a alternativa que apresenta a expressão numérica que indica a quantidade de medicamento ainda presente no organismo desta pessoa após 42 horas.
Provas

Assinale a alternativa cujo termo destacado equivale sintaticamente ao termo amigo.
Provas
De acordo com a norma-padrão da Língua Portuguesa e em relação à ocorrência ou não de crase, assinale a alternativa incorreta.
Provas
De acordo com a norma-padrão da Língua Portuguesa e em relação à regência verbal, assinale a alternativa correta.
Provas
Assinale a alternativa em que todos os vocábulos estão grafados corretamente.
Provas
De acordo com a norma-padrão da Língua Portuguesa e em relação à concordância verbal, assinale a alternativa correta.
Provas
Em relação aos pronomes, marque V para verdadeiro ou F para falso e, em seguida, assinale a alternativa que apresenta a sequência correta.
( ) Não houve nada entre mim e você. ( ) As dentistas pediram para mim fazer o relatório. ( ) Quero ir contigo ao evento para lhe dar boas-vindas.Provas
De acordo com a norma-padrão da Língua Portuguesa e em relação à concordância verbal, assinale a alternativa correta.
Provas
Assinale a alternativa que apresenta erro de acentuação.
Provas
Caderno Container