Foram encontradas 40 questões.
838861
Ano: 2010
Disciplina: Raciocínio Lógico
Banca: Consulplan
Orgão: Pref. Campo Verde-MT
Disciplina: Raciocínio Lógico
Banca: Consulplan
Orgão: Pref. Campo Verde-MT
Provas:
Uma entrevista foi realizada com um grupo de 200 pessoas sobre o uso de medicamentos para emagrecer, a prática de atividades físicas e de regime alimentar. Verificou-se que 43 pessoas não realizam nenhuma das três medidas e 22 pessoas realizam as três; 87 pessoas praticam regime alimentar, 75 pessoas usam medicamentos para emagrecer; 89 pessoas praticam atividades físicas; 37 pessoas praticam regime alimentar e atividades físicas; 40 pessoas praticam regime alimentar e usam medicamentos para emagrecer; 39 praticam atividades físicas e usam medicamentos para emagrecer. Quantas pessoas realizam pelo menos duas das medidas citadas?
Provas
Questão presente nas seguintes provas
Marque a alternativa correta:
Provas
Questão presente nas seguintes provas
Sabe-se que o 7º termo de uma progressão geométrica de razão 4 é igual a 144. Qual é a soma dos dois menores números inteiros dessa sequência?
Provas
Questão presente nas seguintes provas
Sejam as funções f(x) = x - 5 e g(x) = 2x + 4. Para qual valor de x a função [gof(x)] –1 é igual a f(x)?
Provas
Questão presente nas seguintes provas
Sejam as funções f(x) = 2x +5 e gof(x) = 4x + 7. Qual é o valor de k, para que g(k) seja igual a 5?
Provas
Questão presente nas seguintes provas
Qual é o valor da base de uma função logarítmica, cujo gráfico está representado a seguir?


Provas
Questão presente nas seguintes provas
Uma curva apresenta arco de circunferência igual π/2 rad. Se o comprimento desse arco é de 10πm, então o raio dessa curva é igual a:
Provas
Questão presente nas seguintes provas
O nível de intensidade de um som N pode ser expresso em decibéis (dB) através da equação:

Onde: I – intensidade sonora, medida em W/m2 .
– menor intensidade sonora audível (10–12 W/m2 ) “limiar de audibilidade”.
Com base nas informações, responda: qual é a intensidade de um som emitido por um pássaro, cujo nível de intensidade N é de 60dB?

Onde: I – intensidade sonora, medida em W/m2 .
– menor intensidade sonora audível (10–12 W/m2 ) “limiar de audibilidade”. Com base nas informações, responda: qual é a intensidade de um som emitido por um pássaro, cujo nível de intensidade N é de 60dB?
Provas
Questão presente nas seguintes provas
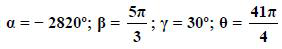
Sejam os seguintes ângulos:
.
Colocando as tangentes desses ângulos em ordem decrescente, obtemos:
. Colocando as tangentes desses ângulos em ordem decrescente, obtemos:
Provas
Questão presente nas seguintes provas
Para qual valor inteiro de k, as funções f(x) = (12 + 3k) x – 8 e g(x) = (8 + 4k) x + 3 são, respectivamente crescente e decrescente?
Provas
Questão presente nas seguintes provas
Cadernos
Caderno Container