Foram encontradas 40 questões.
Qual das funções a seguir apresenta vértice no 4º quadrante?
Provas
Questão presente nas seguintes provas
Sejam os conjuntos A = {- 3, - 1, 1, 3, 5, 7} e B = {- 4, -2, 0, 2, 4}. É correto afirmar:
Provas
Questão presente nas seguintes provas
Qual é a soma dos termos da sequência (x - 2, 3x - 10, 10 + x, 5x + 2), para que a mesma seja uma progressão geométrica crescente?
Provas
Questão presente nas seguintes provas
Seja a função f(x) = 2x – b. Qual é o valor de b, para que f –1 (4) = 5?
Provas
Questão presente nas seguintes provas
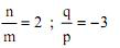
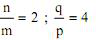
Sejam as funções y = mx + n e y = px + q, cujos gráficos estão representados a seguir:

Com base nos gráficos, marque a alternativa correta:

Com base nos gráficos, marque a alternativa correta:
Provas
Questão presente nas seguintes provas
Qual é o valor de k no gráfico a seguir, considerando que o mesmo é de uma função do 2º grau?


Provas
Questão presente nas seguintes provas
Seja A o conjunto solução da inequação
É correto afirmar que:
É correto afirmar que:Provas
Questão presente nas seguintes provas
Qual é o valor de k, para que a expressão
seja igual a 2?
seja igual a 2? Provas
Questão presente nas seguintes provas
Qual é a soma dos valores de x que verifica a equação 

Provas
Questão presente nas seguintes provas
Seja f(x) =
Para que valor de x, f(x) –1 = g(x) –1 ?
Para que valor de x, f(x) –1 = g(x) –1 ?Provas
Questão presente nas seguintes provas
Cadernos
Caderno Container