Foram encontradas 40 questões.
De acordo com o período de tempo durante o qual o fluxo de água ocorre, distinguem-se certos tipos de rios (cursos d’água). Relacione adequadamente os termos às suas definições.
1. Perene.
2. Intermitente.
3. Efêmero.
(A) Só há fluxo de água durante chuvas ou períodos chuvosos; os canais não são bem definidos.
(B) Há fluxo de água o ano todo, ou pelo menos em 90% do ano, em canal bem definido.
(C) De modo geral, só há fluxo durante a estação chuvosa (50% do período ou menos).
A sequência está correta em
Provas
Provas
Provas
Provas
Provas
Provas
Provas
Provas
Considere verdadeiras as proposições que formam o seguinte argumento:
• p1: Bruno joga basquete se e somente se não trabalhar aos finais de semana;
• p2: Paulo joga futsal se Bruno também jogar;
• p3: Ou Paulo joga futsal ou Bruno não joga basquete; e,
• p4: Bruno trabalha aos finais de semana.
Logo, pode-se concluir que:
Provas
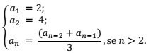
Considere a sequência lógica numérica definida pela seguinte lei de formação:

Assim, para n ∈ ℕ , o sétimo termo dessa sequência é:
Provas
Caderno Container