Foram encontradas 405 questões.
3946260
Ano: 2025
Disciplina: Raciocínio Lógico
Banca: FUNDATEC
Orgão: Pref. Estância Velha-RS
Disciplina: Raciocínio Lógico
Banca: FUNDATEC
Orgão: Pref. Estância Velha-RS
Provas:
Durante a análise das músicas de um determinado artista em um serviço de
streaming, foi realizada uma pesquisa questionando a 1.000 ouvintes quais são suas músicas favoritas
desse artista. Cada ouvinte deveria escolher exatamente três músicas entre toda a discografia. As
músicas mais votadas foram as músicas X, Y e Z. Os votos estão distribuídos da seguinte maneira:
● 551 na música X.
● 545 na música Y.
● 557 na música Z.
● 364 nas músicas X e Y.
● 401 nas músicas X e Z.
● 362 nas músicas Y e Z.
● 315 nas músicas X, Y e Z.
Quantas pessoas não votaram em nenhuma das três músicas X, Y e Z?
● 551 na música X.
● 545 na música Y.
● 557 na música Z.
● 364 nas músicas X e Y.
● 401 nas músicas X e Z.
● 362 nas músicas Y e Z.
● 315 nas músicas X, Y e Z.
Quantas pessoas não votaram em nenhuma das três músicas X, Y e Z?
Provas
Questão presente nas seguintes provas
Em um determinado setor de uma empresa, trabalham 16 pessoas, sendo 10
mulheres e 6 homens. De quantas formas é possível eleger um(a) diretor(a) e um(a) vice-diretor(a),
sendo obrigatoriamente uma mulher e um homem?
Provas
Questão presente nas seguintes provas
Sabendo que um polígono convexo P, cujos vértices são determinados pelos pontos
(-8, 0), (-4, 6), (4, 6), (8, 0), (4, -6) e (-4, -6), foi traçado no plano cartesiano, analise as seguintes
assertivas:
I. P é um hexágono regular.
II. O menor lado de P mede 2√13.
III. O maior lado de P mede 8.
Quais estão corretas?
I. P é um hexágono regular.
II. O menor lado de P mede 2√13.
III. O maior lado de P mede 8.
Quais estão corretas?
Provas
Questão presente nas seguintes provas
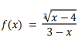
Assinale a alternativa que indica o intervalo correspondente ao domínio da função abaixo:

Provas
Questão presente nas seguintes provas
Com base nos conjuntos numéricos, analise as assertivas abaixo e assinale a
alternativa correta.
I. Se α < b são números reais, então 1 > α/b.
II. Se α, b e c são números inteiros tais que c divide α, então c divide α + b.
III. Se α, b e c são números inteiros tais que α divide c e b divide c, então αb divide c.
I. Se α < b são números reais, então 1 > α/b.
II. Se α, b e c são números inteiros tais que c divide α, então c divide α + b.
III. Se α, b e c são números inteiros tais que α divide c e b divide c, então αb divide c.
Provas
Questão presente nas seguintes provas
3946255
Ano: 2025
Disciplina: Inglês (Língua Inglesa)
Banca: FUNDATEC
Orgão: Pref. Estância Velha-RS
Disciplina: Inglês (Língua Inglesa)
Banca: FUNDATEC
Orgão: Pref. Estância Velha-RS
Provas:
The European Island That Swaps Nationality Twice a Year

(Available at: https://metro.co.uk/2025/04/09/bizarre-european-island-swaps-nationality-twice-a-year22872393/ – text specially adapted for this test).
“Few tourists know ____ the Treaty of the Pyrenees was signed”.
Mark the alternative that fills in correctly the blank in the sentence above.
Provas
Questão presente nas seguintes provas
3946254
Ano: 2025
Disciplina: Inglês (Língua Inglesa)
Banca: FUNDATEC
Orgão: Pref. Estância Velha-RS
Disciplina: Inglês (Língua Inglesa)
Banca: FUNDATEC
Orgão: Pref. Estância Velha-RS
Provas:
The European Island That Swaps Nationality Twice a Year

(Available at: https://metro.co.uk/2025/04/09/bizarre-european-island-swaps-nationality-twice-a-year22872393/ – text specially adapted for this test).
“If the island open to the public year-round, it lose its unique appeal”.
Mark the alternative that fills in, correctly and respectively, the blanks in the sentence above.
Provas
Questão presente nas seguintes provas
3946253
Ano: 2025
Disciplina: Inglês (Língua Inglesa)
Banca: FUNDATEC
Orgão: Pref. Estância Velha-RS
Disciplina: Inglês (Língua Inglesa)
Banca: FUNDATEC
Orgão: Pref. Estância Velha-RS
Provas:
The European Island That Swaps Nationality Twice a Year

(Available at: https://metro.co.uk/2025/04/09/bizarre-european-island-swaps-nationality-twice-a-year22872393/ – text specially adapted for this test).
I. The word “might” suggests a possibility.
II. The verb immediately after “might” is in its base form because it follows a modal verb.
III. The word “might” can be replaced by “must” with no significant changes in meaning.
Which ones are correct?
Provas
Questão presente nas seguintes provas
3946252
Ano: 2025
Disciplina: Inglês (Língua Inglesa)
Banca: FUNDATEC
Orgão: Pref. Estância Velha-RS
Disciplina: Inglês (Língua Inglesa)
Banca: FUNDATEC
Orgão: Pref. Estância Velha-RS
Provas:
- Aspectos linguísticos | Linguistic aspects
- Gramática - Língua InglesaSubstantivos e compostos | Nouns and compounds
The European Island That Swaps Nationality Twice a Year

(Available at: https://metro.co.uk/2025/04/09/bizarre-european-island-swaps-nationality-twice-a-year22872393/ – text specially adapted for this test).
Provas
Questão presente nas seguintes provas
3946251
Ano: 2025
Disciplina: Inglês (Língua Inglesa)
Banca: FUNDATEC
Orgão: Pref. Estância Velha-RS
Disciplina: Inglês (Língua Inglesa)
Banca: FUNDATEC
Orgão: Pref. Estância Velha-RS
Provas:
The European Island That Swaps Nationality Twice a Year

(Available at: https://metro.co.uk/2025/04/09/bizarre-european-island-swaps-nationality-twice-a-year22872393/ – text specially adapted for this test).
“Wooden bridges were erected so royal entourages could pass through.”
Mark the correct interrogative form of the adapted excerpt in the same verb tense.
Provas
Questão presente nas seguintes provas
Cadernos
Caderno Container