Foram encontradas 40 questões.
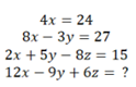
Resolver as operações abaixo na sequência e assinalar a
alternativa que corresponde ao resultado da última
operação.


Provas
Questão presente nas seguintes provas
Anne contraiu um empréstimo de R$ 12.000,00 sob uma
taxa de juros simples mensal de 9% e pretende quitar sua
dívida em 7 meses. Assinalar a alternativa que corresponde
ao montante que Anne deverá pagar.
Provas
Questão presente nas seguintes provas
Determinado terreno, de formato retangular, será
dividido para a construção de campos esportivos. O terreno
tem as medidas apresentadas e será dividido conforme a
imagem abaixo. As partes A e B são do mesmo tamanho, e
cada uma delas é da metade do tamanho da parte C. A parte
D tem o dobro do tamanho da parte C, e a parte E, o dobro
da D.
Considerando−se as informações acima, assinalar a alternativa que apresenta, respectivamente, as medidas da área e do perímetro da parte B.
Considerando−se as informações acima, assinalar a alternativa que apresenta, respectivamente, as medidas da área e do perímetro da parte B.
Provas
Questão presente nas seguintes provas
Tatiane viu no aplicativo de música em seu celular a
quantidade de tempo que passou ouvindo música em
determinada semana. Ao verificar o celular, deparou−se com
o seguinte quadro:
Com base nas informações apresentadas, assinalar a média de tempo que Tatiane passou ouvindo música diariamente.
Com base nas informações apresentadas, assinalar a média de tempo que Tatiane passou ouvindo música diariamente.
Provas
Questão presente nas seguintes provas
Uma empresa fabrica chapéus e os comercializa por
unidade. Após realizar uma análise de custos e lucros,
constatou−se que cada chapéu dessa linha é vendido por
R$ 60,00. Além disso, o custo total de produção dessa linha é
representado pela expressão 800 + 20x. Com base nessas
informações, qual alternativa apresenta a equação do lucro?
Provas
Questão presente nas seguintes provas
Marcelo e Juliano estão brincando de jogar bolinhas de
papel em uma lata de lixo. Sabendo−se que cada um jogou
20 vezes e que Marcelo acertou 9 vezes e Juliano 13,
assinalar a alternativa que apresenta a porcentagem de
acertos de cada um, respectivamente.
Provas
Questão presente nas seguintes provas
Se 6 pintores podem pintar uma sala em 9 horas,
quantas horas serão necessárias para que 4 pintores
realizem o mesmo trabalho?
Provas
Questão presente nas seguintes provas
Qual das palavras abaixo precisa obrigatoriamente ser
acentuada?
Provas
Questão presente nas seguintes provas
A Crônica
A crônica é o único gênero literário produzido
essencialmente para ser veiculado na imprensa, seja nas páginas de uma revista, seja nas de um jornal. Quer dizer, ela é feita com uma finalidade utilitária e predeterminada:
agradar aos leitores dentro de um espaço sempre igual e
com a mesma localização, criando−se assim, no transcurso
dos dias ou das semanas, uma familiaridade entre o escritor
e aqueles que o leem.
Regra geral, a crônica é um comentário breve e
despretensioso sobre algum fato do cotidiano — algo a ser
lido “enquanto se toma o café da manhã”, na feliz expressão de Fernando Sabino. Tal comentário pode ser poético ou
irônico, mas seu motivo, na maioria dos casos, é o fato miúdo: a notícia em que ninguém prestou atenção, o
acontecimento insignificante, a cena corriqueira. Nessas trivialidades, o cronista surpreende a beleza, a comicidade,
os aspectos singulares. O tom, como acentua Antonio
Candido, é o de “uma conversa aparentemente banal”.
O próprio Fernando Sabino apresenta uma das
melhores definições para a crônica, ao dizer que ela “busca o
pitoresco ou o irrisório no cotidiano de cada um”. Em outro
momento, explicando a opção que fez pelo gênero, Sabino
diz: “Eu pretendia apenas recolher da vida diária algo de seu
disperso conteúdo humano. Visava ao circunstancial, ao
episódico. Nesta perseguição do acidental, quer um
flagrante de esquina, quer nas palavras de uma criança ou
num incidente doméstico, torno−me simples espectador”.
A mistura entre jornalismo e literatura leva o cronista
a um frequente impasse. Para se constituir em texto artístico, seu comentário sobre o cotidiano precisa
apresentar uma linguagem que transcenda à da mera informação. Ou seja, precisa de uma linguagem menos
denotativa e mais pessoal. Isso não implica uma elaboração
muito sofisticada ou pretensiosa. Significa que o estilo deve
dar a impressão de naturalidade e que a língua escrita deve
aproximar−se da fala.
Nem sempre o cronista atinge este alvo duplo: fazer
literatura e expressar−se com simplicidade. Em função do
grande público, é preciso buscar primeiramente a clareza e
uma dimensão de oralidade na escrita. Daí a crônica ser
considerada por muitos críticos um gênero menor. Aquela
vontade de forma, que todo grande artista possui, muitas
vezes desaparece diante da necessidade de ser acessível a
todos os leitores.
Sergius Gonzaga. Adaptado.
Provas
Questão presente nas seguintes provas
A Crônica
A crônica é o único gênero literário produzido
essencialmente para ser veiculado na imprensa, seja nas páginas de uma revista, seja nas de um jornal. Quer dizer, ela é feita com uma finalidade utilitária e predeterminada:
agradar aos leitores dentro de um espaço sempre igual e
com a mesma localização, criando−se assim, no transcurso
dos dias ou das semanas, uma familiaridade entre o escritor
e aqueles que o leem.
Regra geral, a crônica é um comentário breve e
despretensioso sobre algum fato do cotidiano — algo a ser
lido “enquanto se toma o café da manhã”, na feliz expressão de Fernando Sabino. Tal comentário pode ser poético ou
irônico, mas seu motivo, na maioria dos casos, é o fato miúdo: a notícia em que ninguém prestou atenção, o
acontecimento insignificante, a cena corriqueira. Nessas trivialidades, o cronista surpreende a beleza, a comicidade,
os aspectos singulares. O tom, como acentua Antonio
Candido, é o de “uma conversa aparentemente banal”.
O próprio Fernando Sabino apresenta uma das
melhores definições para a crônica, ao dizer que ela “busca o
pitoresco ou o irrisório no cotidiano de cada um”. Em outro
momento, explicando a opção que fez pelo gênero, Sabino
diz: “Eu pretendia apenas recolher da vida diária algo de seu
disperso conteúdo humano. Visava ao circunstancial, ao
episódico. Nesta perseguição do acidental, quer um
flagrante de esquina, quer nas palavras de uma criança ou
num incidente doméstico, torno−me simples espectador”.
A mistura entre jornalismo e literatura leva o cronista
a um frequente impasse. Para se constituir em texto artístico, seu comentário sobre o cotidiano precisa
apresentar uma linguagem que transcenda à da mera informação. Ou seja, precisa de uma linguagem menos
denotativa e mais pessoal. Isso não implica uma elaboração
muito sofisticada ou pretensiosa. Significa que o estilo deve
dar a impressão de naturalidade e que a língua escrita deve
aproximar−se da fala.
Nem sempre o cronista atinge este alvo duplo: fazer
literatura e expressar−se com simplicidade. Em função do
grande público, é preciso buscar primeiramente a clareza e
uma dimensão de oralidade na escrita. Daí a crônica ser
considerada por muitos críticos um gênero menor. Aquela
vontade de forma, que todo grande artista possui, muitas
vezes desaparece diante da necessidade de ser acessível a
todos os leitores.
Sergius Gonzaga. Adaptado.
( ) Na crônica, a preocupação com forma está acima da linguagem acessível e clara.
( ) A crônica está diretamente ligada ao cotidiano.
( ) Muitos críticos consideram a crônica um gênero menor.
Provas
Questão presente nas seguintes provas
Cadernos
Caderno Container