Foram encontradas 40 questões.
Considere que a placa do carro de Pedro possui, como
sendo seus dois primeiros algarismos, o 2 e o 4, nessa
ordem. Sabe-se que o número de quatro algarismos que
constitui essa placa é divisível por 3.
Dessa forma, quantas são as possíveis placas que
podem pertencer ao carro de Pedro, considerando
apenas a parte numérica?
Provas
Questão presente nas seguintes provas
Dados os números naturais a e b, em que
o mmc (a, b) = 72 e o mdc (a, b) = 12, é correto afirmar
que o número de divisores do produto a.b é:
Provas
Questão presente nas seguintes provas
Considere que Alberto compra mercadorias para
revender. O preço de revenda desses produtos é 20%
maior do que o seu preço de custo, acrescido de 15
reais.
Sabendo que Alberto vendeu um produto por R$ 37,80,
qual foi o preço pelo qual ele comprou esse produto?
Provas
Questão presente nas seguintes provas
Considere que uma empresa tem um depósito com o
formato de um paralelepípedo reto, com dimensões de
18 m, 12 m e 30 m. Essa empresa deseja produzir caixas
em formato cúbico, tendo estas o maior volume possível
para que ocupem todo o depósito.
Assim, o número de caixas necessárias para ocupar
completamente o depósito é:
Provas
Questão presente nas seguintes provas
Considere que dois pedreiros fazem um muro em x dias.
Se fossem três pedreiros, trabalhando no mesmo ritmo,
a diferença no tempo seria de um dia.
Dessa forma, o número x de dias que dois pedreiros
gastam para fazer o muro é:
Provas
Questão presente nas seguintes provas
Em uma turma, existem 15 garotas, sendo Paula e Maria
duas delas, e 13 rapazes. Será formado um grupo com
duas garotas e dois rapazes. A probabilidade de Paula e Maria ficarem juntas nesse
grupo é:
Provas
Questão presente nas seguintes provas
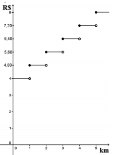
Considere que em uma cidade os táxis cobram suas tarifas segundo a seguinte regra: R$ 4,00 para se iniciar o
deslocamento mais R$ 0,80 toda vez que se completar um quilômetro.
Dessa forma, assinale a alternativa que apresenta o gráfico que representa o valor cobrado em relação ao número de
quilômetros deslocados, nessa cidade.
Provas
Questão presente nas seguintes provas
Sabendo-se que a equação ax² + bx + c = 0 tem somente
uma raiz dupla, é correto afirmar que:
Provas
Questão presente nas seguintes provas
Considere que Ana e Lucas rotacionaram o triângulo
retângulo a seguir, de vértices A, B e C. Ana obteve o
SÓLIDO I rotacionando esse triângulo em torno do eixo z.
Lucas obteve o SÓLIDO II rotacionando esse triângulo
em torno do eixo w.
Baseando-se nesses dados, o valor da razão
é:
Baseando-se nesses dados, o valor da razão
é:Provas
Questão presente nas seguintes provas
Sabe-se que a e b são números naturais não nulos.
Dessa forma, o valor da divisão a seguir é:


Provas
Questão presente nas seguintes provas
Cadernos
Caderno Container