Magna Concursos

Foram encontradas 40 questões.

3856893 Ano: 2025
Disciplina: Pedagogia
Banca: OBJETIVA
Orgão: Pref. Ilópolis-RS

O Ideb (Índice de Desenvolvimento da Educação Básica) é um indicador criado pelo Inep/MEC para avaliar a qualidade da Educação Básica no Brasil. São aspectos considerados para essa avaliação:

I. Desempenho nas avaliações.

II. Fluxo escolar.

III. Renda.

IV. Naturalidade.

Está CORRETO o que se afirma:

 

Provas

Questão presente nas seguintes provas

Sobre a ética no serviço público, avaliar se as afirmativas são certas (C) ou erradas (E) e assinalar a sequência correspondente.

( ) Consiste em um conjunto de princípios e normas que orientam a conduta dos servidores públicos.

( ) Visa ao interesse pessoal acima dos interesses coletivos.

( ) Promove transparência, respeito, eficiência e legalidade.

 

Provas

Questão presente nas seguintes provas
3856891 Ano: 2025
Disciplina: Raciocínio Lógico
Banca: OBJETIVA
Orgão: Pref. Ilópolis-RS

Observar a figura abaixo.

Enunciado 4784104-1

Assinalar a alternativa que corresponde aos graus do ângulo X.

 

Provas

Questão presente nas seguintes provas
3856890 Ano: 2025
Disciplina: Raciocínio Lógico
Banca: OBJETIVA
Orgão: Pref. Ilópolis-RS

Em uma pesquisa feita com 40 pessoas, verificou-se que:

• 18 têm conta na rede social A;

• 15 têm conta na rede social B;

• 7 têm conta nas redes sociais A e B.

Ao todo, quantas pessoas que participaram da pesquisa não têm conta em nenhuma dessas duas redes sociais?

 

Provas

Questão presente nas seguintes provas
3856889 Ano: 2025
Disciplina: Matemática
Banca: OBJETIVA
Orgão: Pref. Ilópolis-RS
Em uma partida de futebol, o estádio vendeu ingressos para a arquibancada inferior a R$ 50,00 e para a arquibancada superior a R$ 70,00. Ao todo, foram vendidos 800 ingressos, e a arrecadação foi de R$ 46.000,00. Quantos ingressos para a arquibancada inferior foram vendidos?
 

Provas

Questão presente nas seguintes provas
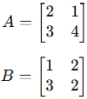
3856888 Ano: 2025
Disciplina: Matemática
Banca: OBJETIVA
Orgão: Pref. Ilópolis-RS

Considerando as matrizes A e B, assinalar a alternativa que representa o produto dos determinantes A e B.

Enunciado 4784097-1

 

Provas

Questão presente nas seguintes provas
3856887 Ano: 2025
Disciplina: Português
Banca: OBJETIVA
Orgão: Pref. Ilópolis-RS

Sobre o emprego dos porquês, assinalar a alternativa que preenche as lacunas abaixo CORRETAMENTE.

Felipe não quis jogar bola ______ havia chovido, e as ruas _______ ele passou estavam todas molhadas. 

 

Provas

Questão presente nas seguintes provas
3856886 Ano: 2025
Disciplina: Português
Banca: OBJETIVA
Orgão: Pref. Ilópolis-RS
Considerando as regras de acentuação, assinalar a alternativa CORRETA.
 

Provas

Questão presente nas seguintes provas
3856885 Ano: 2025
Disciplina: Português
Banca: OBJETIVA
Orgão: Pref. Ilópolis-RS
No que se refere à crase, assinalar a alternativa INCORRETA.
 

Provas

Questão presente nas seguintes provas
3856884 Ano: 2025
Disciplina: Português
Banca: OBJETIVA
Orgão: Pref. Ilópolis-RS

Dependência digital chega à terceira idade

Atualmente, muito se discute sobre a necessidade de balizadores para os tempos de tela de crianças e adolescentes. Não faltam estudos que indicam os problemas gerados pelo excesso de exposição dos mais jovens aos apelos do mundo digital, sobretudo aos conteúdos breves e incessantes das redes sociais. No entanto, pouco se fala sobre como os celulares têm afetado o cotidiano de pessoas idosas.

A pandemia acelerou a aproximação dos maiores de 60 anos ao mundo digital. De acordo com a Pesquisa Nacional por Amostra de Domicílios (PNAD), divulgada em agosto de 2024, o número de idosos que acessam a internet no Brasil mais que dobrou entre 2016 e 2023.

O contexto de distanciamento social pode ter aumentado o interesse desse grupo por ferramentas e mídias digitais, que permitiram a manutenção do contato com familiares e amigos, além de facilitar atividades cotidianas, como transações bancárias e serviços de entrega domiciliar.

Se, por um lado, o interesse pelas plataformas digitais aproxima os idosos do seu direito à informação e de participar do complexo território que é a internet, por outro, pode também reforçar situações de isolamento social e quadros depressivos.

Essa situação se agrava quando a pessoa idosa vive só, com pouca assistência familiar e escasso convívio social. Nesses casos, o tempo diante do celular pode representar uma forma de preencher lacunas ____________, o que, assim como ocorre entre crianças e adolescentes, pode prejudicar a cognição e a manutenção de laços significativos.

Os jovens, contudo, contam com espaços formais de educação, onde há oportunidades de refletir sobre sua relação com as tecnologias, tema previsto nos currículos das redes de ensino.

Já para os idosos, há escassez de espaços voltados à qualificação da experiência digital. Com isso, poucas pessoas com mais de 60 anos têm a chance de refletir sobre sua relação com o mundo digital e, principalmente, sobre o que certos hábitos, especialmente os mais compulsivos, podem estar encobrindo.

É preciso, portanto, reconhecer não apenas os mais jovens como sujeitos de direito à tecnologia. Participar do mundo conectado vai além de estar presente nas ____________ digitais. Por isso, a qualificação da inclusão digital deve estar diretamente relacionada à expansão das ofertas de educação midiática e digital para todas as idades.

Fonte: Educamídia. Adaptado.

No terceiro parágrafo do texto, ao utilizar a palavra “cotidianas”, o autor se refere a atividades:
 

Provas

Questão presente nas seguintes provas