Magna Concursos

Foram encontradas 40 questões.

1467893 Ano: 2007
Disciplina: Matemática
Banca: Dom Bosco
Orgão: Pref. Itatiaia-RJ
Provas:

O ponteiro dos minutos de um relógio mede 10 cm. O percurso que a sua extremidade percorre em 30 min é de aproximadamente:

 

Provas

Questão presente nas seguintes provas
1467892 Ano: 2007
Disciplina: Matemática
Banca: Dom Bosco
Orgão: Pref. Itatiaia-RJ
Provas:

Considere a função tendo como domínio e contradomínio o conjunto dos números reais definida por f(x)=4|x| e as seguintes afirmações sobre a mesma:

I- A função f é estritamente crescente ,

II- A função f possui inversa

III- O gráfico de f não corta o eixo x.

IV- O número real 2 pertence ao conjunto imagem de f.

São verdadeiras as afirmações:

 

Provas

Questão presente nas seguintes provas
1467891 Ano: 2007
Disciplina: Matemática Financeira
Banca: Dom Bosco
Orgão: Pref. Itatiaia-RJ
Provas:

Em uma determinada loja, um determinado fogão custa, à vista, R$ 480,00. Caso a compra seja feita em 3 prestações iguais, faz-se um acréscimo de 5% no valor original do produto. Nesse caso, o valor de cada prestação fica em:

 

Provas

Questão presente nas seguintes provas
1467890 Ano: 2007
Disciplina: Matemática
Banca: Dom Bosco
Orgão: Pref. Itatiaia-RJ
Provas:

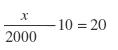
Um professor deu a seus alunos o seguinte problema para ser resolvido: "Um grupo de pessoas iriam dividir igualmente a quantia de R$ 2000,00. No último momento, decidiram de comum acordo, que 10 pessoas desse grupo não teriam direito a participar dessa divisão. Nesse caso então, cada um dos restantes do grupo acabou recebendo R$ 20,00 a mais. Quantas pessoas participavam inicialmente do grupo?" Assinale o item com a equação que descreve tal situação:

 

Provas

Questão presente nas seguintes provas
1467889 Ano: 2007
Disciplina: Raciocínio Lógico
Banca: Dom Bosco
Orgão: Pref. Itatiaia-RJ
Provas:

Uma pesquisa sobre o hábito dos consumidores em relação às marcas de sorvetes A, B e C, revelou que dos 500 entrevistados, 210 consomem a marca A

230 consomem a marca B

160 consomem a marca C

90 consomem as marcas A e B

90 consomem as marcas A e C

70 consomem as marcas B e C

120 não consomem nenhuma dessas três marcas.

Podemos concluir então que o número dentre os consumidores entrevistados o número de consumidores que declararam consumir as três marcas é:

 

Provas

Questão presente nas seguintes provas
1467888 Ano: 2007
Disciplina: Matemática
Banca: Dom Bosco
Orgão: Pref. Itatiaia-RJ
Provas:

Joana, Marcela e Paula iniciam uma corrida de bicicleta em uma pista circular. Sabendo que Joana dá uma volta completa na pista em 13 min, Marcela em 12 min e Paula em 14 min, quantas voltas terá dado cada um respectivamente até o momento que passarão juntos na linha de saída?

 

Provas

Questão presente nas seguintes provas
1467887 Ano: 2007
Disciplina: Matemática
Banca: Dom Bosco
Orgão: Pref. Itatiaia-RJ
Provas:

A razão entre as idades de dois irmãos é de 5/3. Se o mais velho tinha 4 anos quando o irmão nasceu, então o mais novo possui agora:

 

Provas

Questão presente nas seguintes provas

A Educação de Jovens e Adultos (EJA) apresenta-se como o veículo de que se serve a Constituição para consagrar o direito à cidadania àqueles que não tiveram acesso à escolarização na idade apropriada. A necessidade da EJA torna-se evidente em razão de suas funções:

I. Reparadora

II. Equalizadora

III. Qualificadora

IV. Classificatória

Estão corretas APENAS as afirmativas:

 

Provas

Questão presente nas seguintes provas

Em uma reunião de planejamento foi sugerido, com vistas a tornar o processo de ensino aprendizagem mais significativo, integrar as disciplinas através de um tema comum. Segundo a proposta, as disciplinas devem trabalhar por um tempo determinado com uma temática comum, conservando, porém, sua autonomia. A integração proposta para as disciplinas caracteriza a:

 

Provas

Questão presente nas seguintes provas

Plano de aula é a proposta de trabalho do professor para determinada aula ou conjunto de aulas. (Vasconcellos, 2006).

Para que os planos sirvam efetivamente como guias orientadores devem apresentar, segundo Libâneo, as seguintes características:

 

Provas

Questão presente nas seguintes provas