Foram encontradas 35 questões.
I. O exercício das atribuições dos cargos da guarda civil municipal requer capacitação específica, com matriz curricular compatível com suas atividades, podendo a mesma, ser adaptada para formação em segurança pública, elaborada pela Secretaria Nacional de Segurança Pública (Senasp) do Ministério da Justiça. II. É autorizado ao Município a criação de órgão de formação, treinamento e aperfeiçoamento dos integrantes da guarda civil municipal, sendo que, os princípios norteadores devem ser criados pelo órgão responsável e, posteriormente, aprovado pela Secretaria Nacional de Segurança Pública (Senasp) do Ministério da Justiça; III. O Estado poderá, mediante convênio com os Municípios interessados, manter órgão de formação e aperfeiçoamento centralizado, podendo tal órgão, ser o mesmo destinado à formação, treinamento ou aperfeiçoamento de forças militares.
Provas
Provas
Provas
Provas

Com base no gráfico apresentado, e supondo que a produção mundial de bicicletas em 2010, foi de 5.700.000 unidades, então, podemos afirmar que:
Provas
Analise o gráfico abaixo:

https://g1.globo.com/natureza/noticia/2020/09/24/pantanal-tem-maior-
numero-mensal-de-focos-de-incendios-na-historia.ghtml.
Podemos afirmar que:
I. Os períodos com maior foco de incêndios no Pantanal, entre os anos de 1998 e 2020, ocorreram entre os meses de agosto e setembro, período de elevada umidade relativa do ar.
II. O mês de setembro de 2020 foi o período com maior número de focos de incêndios, superando o mês de agosto de 2020, que já tinha superado esta marca em relação aos anos anteriores.
III. Comparando o mês de setembro de 2020 e 2019, observa-se que até o dia 23 de setembro de 2020 os focos de incêndio ultrapassaram em mais de duas vezes em relação ao mesmo mês no ano de 2019.
Estão corretas:
Provas

Considerando as informações expostas, o valor da área do triângulo ABC é igual à:
Provas
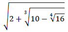
O resultado após simplificação da expressão:

É igual à:
Provas
Provas
Provas
Caderno Container