Magna Concursos

Foram encontradas 60 questões.

598154 Ano: 2018
Disciplina: Matemática Financeira
Banca: IBADE
Orgão: Pref. Ji-Paraná-RO
Provas:

Um professor investiu um capital C a uma taxa anual de 25% durante n anos. O número mínimo de anos para que o montante seja igual a 10 vezes o capital inicial investido, será:

Adote: log 2 = 0,30 e log 3 = 0,48

 

Provas

Questão presente nas seguintes provas
598147 Ano: 2018
Disciplina: Matemática
Banca: IBADE
Orgão: Pref. Ji-Paraná-RO
Provas:
A d i s t â n c i a e n t r e o s f o c o s d a e l i p s e 25.x2 + 9.y2 – 225 = 0, é:
 

Provas

Questão presente nas seguintes provas
598143 Ano: 2018
Disciplina: Matemática
Banca: IBADE
Orgão: Pref. Ji-Paraná-RO
Provas:
Dois faxineiros realizam, juntos um trabalho em 12 min. O mais habilidoso realiza o mesmo trabalho, sozinho, em 20 minutos. Se o trabalho fosse realizado somente pelo outro faxineiro, ele realizaria em quantos minutos?
 

Provas

Questão presente nas seguintes provas
598142 Ano: 2018
Disciplina: Matemática
Banca: IBADE
Orgão: Pref. Ji-Paraná-RO
Provas:
A equação da reta suporte da mediatriz do segmento com extremidades A = (-2, 5) e B = (8, -1), é definida por:
 

Provas

Questão presente nas seguintes provas
598141 Ano: 2018
Disciplina: Matemática
Banca: IBADE
Orgão: Pref. Ji-Paraná-RO
Provas:
O décimo termo de uma progressão aritmética, cuja soma dos n primeiros termos é Sn = 2.n2 + n, é:
 

Provas

Questão presente nas seguintes provas
598140 Ano: 2018
Disciplina: Matemática
Banca: IBADE
Orgão: Pref. Ji-Paraná-RO
Provas:
Considere um cilindro equilátero de raio R, circunscrito em um prisma reto de base hexagonal e de mesma altura. O volume do sólido contido entre o cilindro e o prisma tem valor mínimo igual a:
 

Provas

Questão presente nas seguintes provas
598139 Ano: 2018
Disciplina: Matemática
Banca: IBADE
Orgão: Pref. Ji-Paraná-RO
Provas:

O valor de x real, de modo queenunciado 598139-1seja real puro e não nulo, é:

 

Provas

Questão presente nas seguintes provas
598138 Ano: 2018
Disciplina: Matemática
Banca: IBADE
Orgão: Pref. Ji-Paraná-RO
Provas:

O domínio da função f(x) = enunciado 598138-1 é definido por:

 

Provas

Questão presente nas seguintes provas
598137 Ano: 2018
Disciplina: Matemática
Banca: IBADE
Orgão: Pref. Ji-Paraná-RO
Provas:

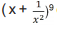
O termo independente de x no desenvolvimento do binômio de Newton enunciado 598137-1 é:

 

Provas

Questão presente nas seguintes provas
598136 Ano: 2018
Disciplina: Matemática
Banca: IBADE
Orgão: Pref. Ji-Paraná-RO
Provas:

O volume, em metros cúbicos, de um tronco de cone obtido a partir de um cone equilátero de raio igual aenunciado 598136-1 , cortado na metade da altura, será:

 

Provas

Questão presente nas seguintes provas