Foram encontradas 30 questões.
O valor do sen(1320º ) é:
Provas
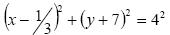
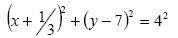
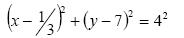
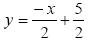
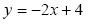
Dados dois pontos A = (1,2) e B = (− 3,4), então a equação da reta que passa por estes pontos é:
Provas

Provas

Provas
Digamos que o Farol de Macapá tenha 40 metros de altura acima do nível do mar. Um faroleiro vê um navio segundo um ângulo (de depressão) de 15°. Qual a distância do navio ao farol ?
Obs.: Ângulo de depressão, nesta questão, é o ângulo formado pela visão do faroleiro e a reta perpendicular ao plano da base do farol.
Provas
Uma determinada vegetação cresce 15% ao mês sobre as águas do rio Amazonas. Sabe-se que esta vegetação tem inicialmente 100m2 . Aproximadamente, em quanto tempo esta vegetação cobrirá uma área de 10 milhões de m2 deste rio?
(Use log10 1,15 = 0,0606 )
Provas
Um determinado cometa A visita a Terra a cada 46 anos. Sua passagem por aqui foi em 1996. Quantas vezes ele visitou a Terra desde o nascimento de Cristo e em que ano foi sua primeira passagem na era cristã? (Era cristã depois do ano 0.)
Provas
Um determinado banco empresta a uma pessoa o valor de R$ 600,00 pelo prazo de 30 dias, exigindo por este empréstimo o pagamento de R$ 30,00 de juro. Qual a taxa de juro composto que o banco está aplicando? (Use 1,05 1/30 = 1,0016)
Provas
Sabe-se que uma bicicleta tem rodas com 0,8m de diâmetro. Uma das rodas desta bicicleta deve completar quantas voltas para fazer um percurso de 2,35368Km?

Provas
Uma tábua de 30cm de comprimento e 10cm de largura pesa 2Kg . Sabendo que uma outra tábua da mesma madeira e espessura é quadrada e tem 0,15m de lado, qual a razão do peso da primeira tábua sobre o peso da segunda?
Provas
Caderno Container