Foram encontradas 40 questões.
O enunciado abaixo é comum às questões 33 e 34.

O valor a ser apresentado na célula B8, se digitarmos a fórmula =SOMA(B3:B7) nesta célula, é:
Provas
Questão presente nas seguintes provas
O Microsoft Office Professional 97 é composto por uma série de produtos. Um produto que NÃO pertence ao Microsoft Office Professional 97 é:
Provas
Questão presente nas seguintes provas
As figuras abaixo ilustram dois tipos de topologia de rede.


As topologias 1 e 2 são conhecidas, respectivamente, como:


As topologias 1 e 2 são conhecidas, respectivamente, como:
Provas
Questão presente nas seguintes provas
- AbrangênciaLAN: Local Area Network
- AbrangênciaMAN: Metropolitan Area Network
- AbrangênciaWAN: Wide Area Network
As redes locais de computadores são também conhecidas como:
Provas
Questão presente nas seguintes provas
1213697
Ano: 2004
Disciplina: TI - Desenvolvimento de Sistemas
Banca: CESGRANRIO
Orgão: Pref. Manaus-AM
Disciplina: TI - Desenvolvimento de Sistemas
Banca: CESGRANRIO
Orgão: Pref. Manaus-AM
Considere a sub-rotina abaixo para responder
às questões 20 e 21.

A sub-rotina acima utiliza a expressão "declare" para declarar variáveis utilizadas no algoritmo. Em Visual Basic 6.0, a expressão "declare" seria implementada por:às questões 20 e 21.

Provas
Questão presente nas seguintes provas
1213696
Ano: 2004
Disciplina: TI - Desenvolvimento de Sistemas
Banca: CESGRANRIO
Orgão: Pref. Manaus-AM
Disciplina: TI - Desenvolvimento de Sistemas
Banca: CESGRANRIO
Orgão: Pref. Manaus-AM
- Fundamentos de ProgramaçãoAlgoritmosConceitos Básicos de Algoritmos
- Fundamentos de ProgramaçãoEstruturas de Dados
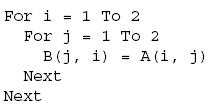
Um Analista de Sistemas recebeu a tarefa de implementar uma sub-rotina que, a partir de uma matriz de entrada "A", gerasse uma outra matriz de saída "B". Um pedaço desta sub-rotina, implementada em Visual Basic 6.0, está apresentado abaixo.

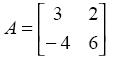
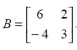
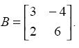
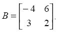
Considere a matriz A = (aij) de dimensão 2 x 2, a seguir, onde aij são os elementos da matriz A.

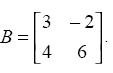
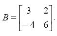
Nesta matriz, por exemplo, o elemento a11 possui o valor 3. A matriz "B" resultante da execução do algoritmo acima, tendo a matriz "A" como entrada, é:

Considere a matriz A = (aij) de dimensão 2 x 2, a seguir, onde aij são os elementos da matriz A.

Nesta matriz, por exemplo, o elemento a11 possui o valor 3. A matriz "B" resultante da execução do algoritmo acima, tendo a matriz "A" como entrada, é:
Provas
Questão presente nas seguintes provas
1213695
Ano: 2004
Disciplina: TI - Desenvolvimento de Sistemas
Banca: CESGRANRIO
Orgão: Pref. Manaus-AM
Disciplina: TI - Desenvolvimento de Sistemas
Banca: CESGRANRIO
Orgão: Pref. Manaus-AM
O enunciado abaixo é comum às questões de 16 a 19.
Um Analista de Sistemas recebeu a tarefa de modelar um
pequeno sistema para controlar os pedidos de produtos
feitos pela empresa na qual trabalha. Para realizar suas
atividades o Analista escolheu utilizar diagramas empregados
na análise estruturada.
A figura abaixo apresenta o DFD (Diagrama de Fluxo de
Dados) parcial por ele elaborado.

Sobre o DFD são feitas as três afirmativas a seguir. Um Analista de Sistemas recebeu a tarefa de modelar um
pequeno sistema para controlar os pedidos de produtos
feitos pela empresa na qual trabalha. Para realizar suas
atividades o Analista escolheu utilizar diagramas empregados
na análise estruturada.
A figura abaixo apresenta o DFD (Diagrama de Fluxo de
Dados) parcial por ele elaborado.

I - "Vendedor" é uma entidade externa.
II - "Cadastrar Solicitação" é um processo.
III - As setas do diagrama indicam a direção do fluxo de dados.
Está(ão) correta(s) a(s) afirmativa(s):
Provas
Questão presente nas seguintes provas
1213694
Ano: 2004
Disciplina: TI - Desenvolvimento de Sistemas
Banca: CESGRANRIO
Orgão: Pref. Manaus-AM
Disciplina: TI - Desenvolvimento de Sistemas
Banca: CESGRANRIO
Orgão: Pref. Manaus-AM
O enunciado abaixo é comum às questões de 16 a 19.
Um Analista de Sistemas recebeu a tarefa de modelar um
pequeno sistema para controlar os pedidos de produtos
feitos pela empresa na qual trabalha. Para realizar suas
atividades o Analista escolheu utilizar diagramas empregados
na análise estruturada.
A figura abaixo apresenta o DFD (Diagrama de Fluxo de
Dados) parcial por ele elaborado.

Nesse DFD o item de dados "solicitação" é composto pelo número do pedido (num_pedido), número do cliente (num_cliente), pela descrição do pedido (descrição_pedido) e pelo endereço de entrega (endereço_entrega). O número do pedido, o número do cliente e a descrição do pedido são obrigatórios e o endereço de entrega é opcional. A partir destas informações, assinale a opção que representa a definição do item de dados "solicitação" no dicionário de dados elaborado pelo Analista.Um Analista de Sistemas recebeu a tarefa de modelar um
pequeno sistema para controlar os pedidos de produtos
feitos pela empresa na qual trabalha. Para realizar suas
atividades o Analista escolheu utilizar diagramas empregados
na análise estruturada.
A figura abaixo apresenta o DFD (Diagrama de Fluxo de
Dados) parcial por ele elaborado.

Provas
Questão presente nas seguintes provas
1213693
Ano: 2004
Disciplina: TI - Desenvolvimento de Sistemas
Banca: CESGRANRIO
Orgão: Pref. Manaus-AM
Disciplina: TI - Desenvolvimento de Sistemas
Banca: CESGRANRIO
Orgão: Pref. Manaus-AM
O enunciado abaixo é comum às questões de 16 a 19.
Um Analista de Sistemas recebeu a tarefa de modelar um
pequeno sistema para controlar os pedidos de produtos
feitos pela empresa na qual trabalha. Para realizar suas
atividades o Analista escolheu utilizar diagramas empregados
na análise estruturada.
A figura abaixo apresenta o DFD (Diagrama de Fluxo de
Dados) parcial por ele elaborado.

A partir do DFD definido, o Analista elaborou o DER (Diagrama de Entidade-Relacionamento) abaixo. Um Analista de Sistemas recebeu a tarefa de modelar um
pequeno sistema para controlar os pedidos de produtos
feitos pela empresa na qual trabalha. Para realizar suas
atividades o Analista escolheu utilizar diagramas empregados
na análise estruturada.
A figura abaixo apresenta o DFD (Diagrama de Fluxo de
Dados) parcial por ele elaborado.


Quantas entidades o DER acima possui?
Provas
Questão presente nas seguintes provas
1213692
Ano: 2004
Disciplina: TI - Desenvolvimento de Sistemas
Banca: CESGRANRIO
Orgão: Pref. Manaus-AM
Disciplina: TI - Desenvolvimento de Sistemas
Banca: CESGRANRIO
Orgão: Pref. Manaus-AM
Considere a sub-rotina abaixo para responder
às questões 20 e 21.

Com base no algoritmo acima, e supondo que o valor fornecido para "A" na linha "leia A" seja 3 e o valor fornecido para "B" na linha "leia B" seja 4, pode-se afirmar que o valor da variável "C" na linha "escreva C" é:às questões 20 e 21.

Provas
Questão presente nas seguintes provas
Cadernos
Caderno Container