Foram encontradas 40 questões.
Logo, a área do triângulo ABC é igual à:
Provas
Na aula anterior à entrega das avaliações corrigidas, o professor informou o seguinte:
● Aquantidade de alunos que acertou a primeira questão é múltipla de 3. ● Um terço dos alunos que acertou a primeira questão errou a quarta; esses foram os únicos alunos que erraram a quarta questão. ● Todos os alunos que acertaram a segunda questão erraram a terceira; esses foram os únicos alunos que erraram a terceira questão. ● Nenhum aluno acertou todas as questões.
Na aula seguinte, as avaliações foram entregues, e os alunos viram que a média da turma foi igual a 2,5 pontos.
É CORRETO concluir que:
Provas
Provas
- GeometriaGeometria PlanaCircunferências e Círculos
- TrigonometriaSeno, Cosseno e Tangente
- TrigonometriaCírculo Trigonométrico
O enunciado a seguir deve ser usado para a questão.
O Professor Euclideson estava estudando o seguinte problema, conforme a figura abaixo: No semicírculo Γ de raio r = 2024 u.c. (unidades de comprimento) e centro O, traçam-se duas cordas AD e BC, cada uma das quais divide o semicírculo em duas regiões de mesma área. Essas cordas intersectam-se no ponto P. O ângulo θ é medido em radianos.

Não satisfeito, o Professor Euclideson introduziu um sistema cartesiano de coordenadas no plano de tal modo que O = (0,0), a
semirreta
coincidiu com o semieixo positivo dos x e a semirreta com início em O, perpendicular à reta
e contida no mesmo
semiplano que o semicírculo Γ com relação à reta
coincidiu com o semieixo positivo dos y.
Nesse sistema, o ponto P tem coordenadas:
Provas
O enunciado a seguir deve ser usado para a questão.
O Professor Euclideson estava estudando o seguinte problema, conforme a figura abaixo: No semicírculo Γ de raio r = 2024 u.c. (unidades de comprimento) e centro O, traçam-se duas cordas AD e BC, cada uma das quais divide o semicírculo em duas regiões de mesma área. Essas cordas intersectam-se no ponto P. O ângulo θ é medido em radianos.

Provas
- FunçõesFunção de 2º Grau (Quadrática)
- GeometriaGeometria PlanaTriângulos
- TrigonometriaCírculo Trigonométrico
Se o gráfico da função
Provas
O enunciado a seguir deve ser usado para a questão.
Seja M o conjunto de todas as matrizes 3 × 3 cujas entradas são todas números inteiros satisfazendo as seguintes condições:
●Todas as entradas da primeira coluna são múltiplas de 2;
● Todas as entradas da segunda coluna são múltiplas de 3;
●Todas as entradas da terceira coluna são múltiplas de 5;
●Todas as entradas da primeira linha são múltiplas de 5;
●Todas as entradas da segunda linha são múltiplas de 3;
●Todas as entradas da terceira linha são múltiplos de 2.
Provas
O enunciado a seguir deve ser usado para a questão.
Seja M o conjunto de todas as matrizes 3 × 3 cujas entradas são todas números inteiros satisfazendo as seguintes condições:
●Todas as entradas da primeira coluna são múltiplas de 2;
● Todas as entradas da segunda coluna são múltiplas de 3;
●Todas as entradas da terceira coluna são múltiplas de 5;
●Todas as entradas da primeira linha são múltiplas de 5;
●Todas as entradas da segunda linha são múltiplas de 3;
●Todas as entradas da terceira linha são múltiplos de 2.
Provas
O valor de n é:
Provas
- FundamentosOperações Fundamentais
- FundamentosFrações e Números Decimais
- GeometriaGeometria PlanaTriângulos
- GeometriaGeometria PlanaÁreas e Perímetros
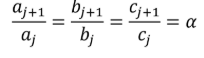
Seja T um conjunto de 2023 triângulos T1, T 2 ,..., T 2023 no plano euclidiano, com a seguinte propriedade: existe uma constante real α, com 0 < α < 1, tal que, para todo j = 1, ..., 2022, os triângulos Tj e Tj+1 são semelhantes e

em que, em cada fração acima, o numerador é a medida de um lado de Tj+1 e o denominador é medida do lado correspondente de j+1 Tj .Denotando Sj a área de Tj , para cada j = 1 ,..., 2023, a soma

é igual a:
Provas
Caderno Container