Foram encontradas 50 questões.
A dizima periódica 0,363636... pode ser representada em forma de fração por:
Provas
Um octaedro regular é considerado um sólido platônico. Todas as suas oito faces são triângulos equiláteros. Em cada vértices, encontram-se 4 arestas. Indique o número de arestas do octaedro regular:
Provas
A forma fatorada da expressão:
É dada por:
Provas
A figura abaixo mostra um prisma de base quadrada inicialmente reto que foi distorcido sem mudar sua altura, nem área da base, tornando-se um prisma oblíquo de mesma base quadrada:

Entende-se por “perímetro” do prisma, a soma dos comprimentos de todas as arestas. Sobre o volume, a área total da superfície e o perímetro após a distorção, é correto afirmar que:
Provas
Dada a função do segundo grau:
![]()
a equação da reta que passa pelo ponto de extremo (máximo/mínimo) e pelo ponto de cruzamento de f(x) com o eixo das ordenadas é:
Provas
Observe as afirmativas:
I - A soma dos ângulos internos de um polígono regular de 8 lados é igual a 1080 graus;
II - A soma dos ângulos externos de qualquer polígono convexo, independentemente do número de lados, é sempre igual a 360 graus.
III — Em um polígono regular, todos os ângulos internos são congruentes entre si.
Estão corretas:
Provas
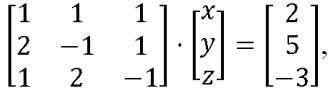
A equação matricial abaixo representa um sistema linear

Ao resolvê-lo, indique a soma das variáveis x,y e z:
Provas
Em uma sala de conferências, há 60 cadeiras numeradas de 1 a 60 e participarão do evento 36 pessoas, sendo 14 palestrantes e 22 ouvintes. Sabe-se que os palestrantes devem ocupar apenas cadeiras cuja numeração seja um número par. De quantas formas as pessoas poderão ser organizadas nessas condições?
Provas
Uma escola particular paga um salário mensal de R$ 4.500,00 aos seus professores. Após uma reestruturação no quadro de funcionários, 10% dos professores serão desligados e o valor total economizado com os salários desses profissionais será redistribuído igualmente entre os professores que permanecerão na instituição. Qual será o novo salário mensal de cada professor?
Provas
Dada a função do segundo grau:
\( f \)(x)=x2-(p—1)x+1
Para quais valores de p, a função \( f(x) \) terá duas raízes reais e distintas?
Provas
Caderno Container