Magna Concursos

Foram encontradas 379 questões.

3299317 Ano: 2024
Disciplina: Matemática
Banca: Instituto JK
Orgão: Pref. Nina Rodrigues-MA
Provas:
Quantos números de 4 algarismos diferentes podemos escrever com os algarismos 1,2,4,6,7,8 e 9?
 

Provas

Questão presente nas seguintes provas
3299316 Ano: 2024
Disciplina: Matemática
Banca: Instituto JK
Orgão: Pref. Nina Rodrigues-MA
Provas:
Quantos anagramas existem na palavra BARBOSINHA?
 

Provas

Questão presente nas seguintes provas
3299315 Ano: 2024
Disciplina: Matemática
Banca: Instituto JK
Orgão: Pref. Nina Rodrigues-MA
Provas:
Sendo Enunciado 3700279-1 marque a alternativa que corresponde a matriz X, tal que X = A – B
 

Provas

Questão presente nas seguintes provas
3299314 Ano: 2024
Disciplina: Matemática
Banca: Instituto JK
Orgão: Pref. Nina Rodrigues-MA
Provas:
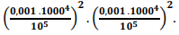
Marque a alternativa que corresponde o resultado da expressão Enunciado 3700278-1Enunciado 3700278-2
 

Provas

Questão presente nas seguintes provas
3299313 Ano: 2024
Disciplina: Matemática
Banca: Instituto JK
Orgão: Pref. Nina Rodrigues-MA
Provas:
Simplifique a expressão Enunciado 3700276-1 e marque a alternativa que corresponde ao seu resultado:
 

Provas

Questão presente nas seguintes provas
3299312 Ano: 2024
Disciplina: Matemática
Banca: Instituto JK
Orgão: Pref. Nina Rodrigues-MA
Provas:
Analise as afirmativas abaixo e marque a alternativa que corresponde as afirmações CORRETAS:

I. A expressão √4 + √9 + √1 tem como resposta o valor 7
II. A expressão 2 /√8 tem como resposta a expressão √2/ 2
III. A expressão √(−3) 2 + (−2) 6 − (−2,4) + 8 tem como resposta o valor 8
 

Provas

Questão presente nas seguintes provas
3299311 Ano: 2024
Disciplina: Matemática
Banca: Instituto JK
Orgão: Pref. Nina Rodrigues-MA
Provas:
Qual será o valor que m precisará assumir na equação de segundo grau 6x² - m.x + 7 = 0, para que a soma de suas raízes seja igual a 21?
 

Provas

Questão presente nas seguintes provas
3299310 Ano: 2024
Disciplina: Matemática
Banca: Instituto JK
Orgão: Pref. Nina Rodrigues-MA
Provas:
Na loja de materiais elétricos da Ana Maria, os eletrônicos têm o preço modelado pela equação do segundo grau y = - 2x² + 9x - 4, onde x é medido em meses, e y, em centenas de reais. Nessas condições, em quanto tempo aproximado os eletrônicos alcançaram o seu maior valor?
 

Provas

Questão presente nas seguintes provas
3299309 Ano: 2024
Disciplina: Matemática
Banca: Instituto JK
Orgão: Pref. Nina Rodrigues-MA
Provas:
Em um asilo, 1 funcionário consegue limpar a área do jardim retangular com dimensões de 12m x 10m em 4 horas. Qual será o tempo que 2 funcionários levaram para limpar o jardim, sabendo que a área do jardim foi aumentada em 25%?
 

Provas

Questão presente nas seguintes provas
3299308 Ano: 2024
Disciplina: Inglês (Língua Inglesa)
Banca: Instituto JK
Orgão: Pref. Nina Rodrigues-MA
Provas:
Identify the sentence with the correct personal pronoun:
 

Provas

Questão presente nas seguintes provas