Foram encontradas 40 questões.
A curva S, utilizada em planejamento e controle de uma
obra, indica a distribuição acumulada da alocação de
determinado fator de produção ao longo do tempo. O formato S
dessa curva ocorre porque, tipicamente, a alocação de recursos
ao longo do tempo ocorre de acordo com uma curva:
Provas
Questão presente nas seguintes provas
Um bloco de fundação em concreto armado deve possuir
uma base quadrada de 2 m de lado e altura de 1,5 m, e uma taxa
3
de armação de 50 kg/m3 . Os custos unitários de cada um dos
itens a serem utilizados na execução do bloco são mostrados na
tabela a seguir.

O orçamento para execução desse bloco, considerando os materiais a serem utilizados na sua forma, armação e concretagem, é de:

O orçamento para execução desse bloco, considerando os materiais a serem utilizados na sua forma, armação e concretagem, é de:
Provas
Questão presente nas seguintes provas
Uma amostra de solo possui as seguintes proporções, em
volume:

O índice de vazios desse solo vale:

O índice de vazios desse solo vale:
Provas
Questão presente nas seguintes provas
Em topografia, o azimute de uma direção consiste no ângulo
medido no sentido:
Provas
Questão presente nas seguintes provas
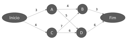
A figura a seguir ilustra uma rede PERT/COM, onde os números em cada arco indicam a duração, em semanas, de cada processo que faz com que o sistema transite entre os estados inicial e final, passando pelos estados A, B, C e D.

O caminho crítico dessa rede é:

O caminho crítico dessa rede é:
Provas
Questão presente nas seguintes provas
O disjuntor de norma IEC ou DIN, tipicamente utilizado para
proteção de circuitos com baixa intensidade característica de
cargas resistivas, é aquele com curva de atuação denominada:
Provas
Questão presente nas seguintes provas
Um SPDA consiste em um sistema externo e outro interno
para proteção contra descargas atmosféricas. É função do
sistema interno:
Provas
Questão presente nas seguintes provas
Em contratos da Administração Pública, algumas cláusulas
devem estar sempre presentes. Outras cláusulas são exigidas a
critério da autoridade competente, como :
Provas
Questão presente nas seguintes provas
Um engenheiro civil da Prefeitura de Nova Mutum está
encarregado de realizar o processo licitatório para contratação de
uma empresa que irá executar uma obra de engenharia com
custo estimado em R$3.000.000,00 (três milhões de reais).
Nessa condição, o processo deve ser realizado na modalidade:
Provas
Questão presente nas seguintes provas
De acordo com a Norma Regulamentadora (NR) 18, é
obrigatória a instalação de proteção contra queda de
trabalhadores e projeção de materiais, na periferia da edificação,
a partir do início dos serviços necessários à concretagem da
primeira laje. Essa proteção, quando constituída por anteparos
rígidos com fechamento total do vão, deve ter altura mínima de:
Provas
Questão presente nas seguintes provas
Cadernos
Caderno Container