Foram encontradas 40 questões.
- FundamentosOperações Fundamentais
- FundamentosPotenciação e RadiciaçãoPotenciação
- FundamentosMMC e MDC
- Álgebra
Sejam x, y, z, w números inteiros tais que
![]()
e

Qual é o máximo divisor comum entre x, y, z, w ?
Provas
Questão presente nas seguintes provas
Se k é um inteiro positivo, nós definimos k!!
como o produto de todos os pares positivos menores
ou iguais a k. Qual o algarismo das unidades de
2!! + 4!!+. . . +2022!! + 2024!! ?
2!! + 4!!+. . . +2022!! + 2024!! ?
Provas
Questão presente nas seguintes provas
Em um triângulo ABC, o ângulo  = 60°, o segmento AB = 3x e o segmento AC = 4x. Seja M o ponto do segmento AB tal que AM = 1/3 AB, N o ponto do segmento AC de modo que AN = 1/2 AC. Seja P o ponto médio de MN. Determine o comprimento do segmento BP.
Provas
Questão presente nas seguintes provas
Qual é o algarismo das unidades do número 
Provas
Questão presente nas seguintes provas
Considere um círculo com centro O, e A e B
pontos na circunferência. Seja P um ponto fora do
círculo tal que os segmentos PA e PB são tangentes ao
círculo. Suponha também que
Qual o valor AB ?
Provas
Questão presente nas seguintes provas
Seja p um número primo e suponha que para
algum número natural n, √n + p + √n seja um número
natural. O que podemos concluir?
Provas
Questão presente nas seguintes provas
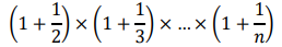
Quantos inteiros n entre 2 e 2024 são tais que o produto
![]()
é um número inteiro?
Provas
Questão presente nas seguintes provas
Para quantos inteiros positivos a é verdade que x = 2 é a única solução inteira positiva do sistema
abaixo?


Provas
Questão presente nas seguintes provas
Qual o maior valor de k para o qual a inequação √a − 3 + √6 − a ≥ k é verdade para algum número
real a ?
Provas
Questão presente nas seguintes provas
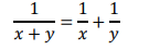
Joãozinho teve um sonho que a expressão
![]()
era verdadeira para todos x, y números reais não nulos. Quantos pares de números reais (x, y) satisfazem o sonho de Joãozinho ?
Provas
Questão presente nas seguintes provas
Cadernos
Caderno Container