Foram encontradas 40 questões.
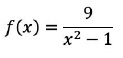
Assinale a alternativa que apresenta o maior domínio possível de uma função dada por 

Provas
Questão presente nas seguintes provas
Assinale a alternativa que apresenta duas grandezas inversamente proporcionais.
Provas
Questão presente nas seguintes provas
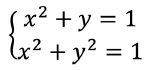
Assinale um par ordenado que é solução real do sistema de equações a seguir.

Provas
Questão presente nas seguintes provas
A diferença entre dois números é 8 e sua soma é 6. Qual é o maior desses números?
Provas
Questão presente nas seguintes provas
A unidade de medida hectograma (hg) se refere a qual grandeza?
Provas
Questão presente nas seguintes provas
Um empréstimo de um capital de R$ 3500,00 foi feito a uma taxa de juro simples de 2% a.m., rendendo um
juro de R$ 420,00. Por quanto tempo esse empréstimo foi feito?
Provas
Questão presente nas seguintes provas
A dose de um medicamento veterinário é de 5 mg/Kg, dada a massa do cachorro vivo. Clodoaldo vai administrar esse medicamento para um cachorro de 15 Kg. Quantos mg Clodoaldo deve administrar?
Provas
Questão presente nas seguintes provas
Ricardo tem 3 cachorros. Um pacote de ração de 9 kg alimenta-os por 9 dias. Quantos quilos de ração são
necessários para alimentar 5 cachorros do mesmo porte por 30 dias?
Provas
Questão presente nas seguintes provas
Considere a proposição e assinale a alternativa CORRETA: “se a temperatura da cidade de Leonardo é
maior que 40º, ele vai à praia”. Podemos expressar a sua negação por:
Provas
Questão presente nas seguintes provas
Sejam A, B e C conjuntos dados por A = {-1, 2, 9, 7, 3}, B = {2, 7} e C = {-1, 0}. Assinale a alternativa CORRETA.
Provas
Questão presente nas seguintes provas
Cadernos
Caderno Container