Foram encontradas 40 questões.
Uma fila é composta apenas por Renata, Bruna, Gabriela, Sandra, Wanda e Tatiana. Sabe-se que Wanda
está posicionada em algum lugar após Gabriela e em algum lugar após Tatiana. Além disso, Sandra está posicionada em algum lugar após Wanda. Também se sabe que Renata está posicionada em algum lugar antes de
Sandra.
Se Renata está em quinto lugar na fila, quem está em sexto lugar na fila?
Se Renata está em quinto lugar na fila, quem está em sexto lugar na fila?
Provas
Questão presente nas seguintes provas
Em uma receita clássica, utiliza-se 4 ovos para cada 2 xícaras de açúcar. Quantos ovos devem ser usados
para fazer essa mesma receita com 3 xícaras de açúcar?
Provas
Questão presente nas seguintes provas
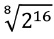
Assinale a alternativa que apresente CORRETAMENTE o valor de
.
Provas
Questão presente nas seguintes provas
Deyse e Pablo foram a um restaurante e consumiram juntos R$ 89,00 em comidas e bebidas. O garçom
solicitou a inclusão de 10% desse valor na conta como taxa de serviço e Deyse e Pablo concordaram. Em seguida, repartiram o valor total da conta em duas partes iguais e efetuaram o pagamento. Qual foi o valor pago
por cada um?
Provas
Questão presente nas seguintes provas
Adriano fez uma aplicação de R$ 6000,00 a uma taxa de juro simples de 1% a.m. por 5 meses. Qual foi o
montante dessa aplicação ao final do tempo previsto?
Provas
Questão presente nas seguintes provas
A equação x²-x-2=0 tem duas raízes. Qual é o valor da soma dessas duas raízes?
Provas
Questão presente nas seguintes provas
No pedágio de uma cidade há três funcionários, Ana, Beto e Cláudia, que recebem o dinheiro dos motoristas. Ana atende 1 motorista a cada dois minutos; Beto atende 2 motoristas a cada três minutos; e Cláudia
atende 4,5 motoristas a cada cinco minutos. Em determinado dia, havia uma fila com 80 motoristas aguardando
serem atendidos. Depois de 30 minutos, quantos motoristas foram atendidos por Ana, Beto e Cláudia?
Provas
Questão presente nas seguintes provas
A sequência (-7, -4, -1, ...) é uma Progressão Aritmética (PA).
Assinale a alternativa que apresenta CORRETAMENTE a razão dessa PA.
Assinale a alternativa que apresenta CORRETAMENTE a razão dessa PA.
Provas
Questão presente nas seguintes provas
Lais vendeu 200 rifas para sua formatura. José comprou 15 números para participar dessa rifa. Qual a probabilidade de José ser sorteado?
Provas
Questão presente nas seguintes provas
Um costureiro repartiu um tecido em 8 partes iguais de 50 cm, sem sobras. Caso ele tivesse dividido em 10
partes iguais, sem sobras, quanto mediria cada parte?
Provas
Questão presente nas seguintes provas
Cadernos
Caderno Container