Foram encontradas 30 questões.
3134095
Ano: 2024
Disciplina: Raciocínio Lógico
Banca: Consulplan
Orgão: Pref. Pitangueiras-SP
Disciplina: Raciocínio Lógico
Banca: Consulplan
Orgão: Pref. Pitangueiras-SP
Provas:
Em um supermercado 3 operadores de caixa, trabalhando em um mesmo ritmo, conseguem atender um total de 72 clientes em
um intervalo de 1 hora. Durante o horário de almoço, um dos operadores se ausenta por 2 horas.Quantos clientes os dois operadores, que ficaram no supermercado, conseguem atender durante o intervalo de ausência do terceiro operador?
Provas
Questão presente nas seguintes provas
A forma fatorada de uma equação do segundo grau é representada pela seguinte equação, sendo x1 e x2 as raízes da
equação:
A ∙ (x – x1) ∙ (x – x2) = 0
A forma fatorada da equação do segundo grau –2x2 – 8x + 10 = 0 é:
A ∙ (x – x1) ∙ (x – x2) = 0
A forma fatorada da equação do segundo grau –2x2 – 8x + 10 = 0 é:
Provas
Questão presente nas seguintes provas
3134093
Ano: 2024
Disciplina: Raciocínio Lógico
Banca: Consulplan
Orgão: Pref. Pitangueiras-SP
Disciplina: Raciocínio Lógico
Banca: Consulplan
Orgão: Pref. Pitangueiras-SP
Provas:
Uma professora de língua grega faz traduções de textos científicos para um aluno de graduação. Para calcular o valor que deve
cobrar por suas traduções, ela definiu R$ 0,02 por palavra traduzida. Supondo que o último texto traduzido tivesse 230 palavras por
página e que o valor cobrado pelo serviço fosse R$ 82,80, quantas páginas teria o texto traduzido pela professora?
Provas
Questão presente nas seguintes provas
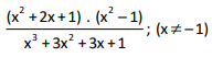
Para verificar o conhecimento de seus alunos sobre produtos notáveis, determinado professor pediu que seus alunos encontrassem
a forma mais simplificada da fração algébrica a seguir:

Qual das alternativas representa a forma mais simplificada da fração algébrica?

Qual das alternativas representa a forma mais simplificada da fração algébrica?
Provas
Questão presente nas seguintes provas
Uma empresa fará um evento de final de ano para seus funcionários com palestras e cursos de aperfeiçoamento. Durante
uma das palestras será sorteada uma viagem com todas as despesas pagas e com direito a um acompanhante. Para fazer o
sorteio, cada participante receberá um número de 1 a 50 no início da palestra. Supondo que todos os 50 números foram
distribuídos entre os participantes, qual a probabilidade de o número sorteado ser um número par ou divisível por 5?
Provas
Questão presente nas seguintes provas
3134090
Ano: 2024
Disciplina: Raciocínio Lógico
Banca: Consulplan
Orgão: Pref. Pitangueiras-SP
Disciplina: Raciocínio Lógico
Banca: Consulplan
Orgão: Pref. Pitangueiras-SP
Provas:
Jaqueline tem dois cachorros – Maia e Zeus. Todas as manhãs, antes de ir para o trabalho, Jaqueline fraciona 450 gramas de ração
em porções diretamente proporcionais ao peso de seus cachorros. Sabendo-se que Maia e Zeus pesam, respectivamente, 12 e 15
quilogramas, qual a quantidade de ração que Zeus recebe a mais que Maia?
Provas
Questão presente nas seguintes provas
Para solucionar o vazamento de uma torneira, um bombeiro hidráulico utilizou uma fita veda-rosca feita de teflon. Pelo fato
da fita ser bem fina, foram dadas 8 voltas completas de fita em torno da rosca da torneira que tem um formato circular com
25 mm de diâmetro. Desprezando-se a espessura da fita e, ainda, considerando π = 3,14, qual a quantidade, em centímetros,
de fita utilizada pelo bombeiro hidráulico para fazer a vedação da rosca da torneira?
Provas
Questão presente nas seguintes provas
Um comerciante compra um determinado produto para revenda diretamente com a fábrica. Pelo fato de comprar em grande
quantidade, o valor pago por ele tem um desconto de 20% no valor inicial do produto. Por uma situação de crise, a demanda
por esse produto caiu e seu estoque ficou parado. Para não deixar de vender, o comerciante decidiu baixar o valor do seu
produto e passou a vendê-lo pelo valor inicial de fábrica. Qual é a porcentagem que o comerciante deverá acrescentar ao
valor pago pelo produto para que ele chegue ao valor inicial de fábrica?
Provas
Questão presente nas seguintes provas
Um marceneiro recebeu uma encomenda para fabricar dois tampos de mesa. Sabe-se que um tampo deve ser fabricado em
forma de um quadrado e o outro em forma de um triângulo equilátero. Ambos os tampos devem ter a mesma medida de
lado ( L ). Qual a razão entre a área do tampo em formato de triângulo equilátero e a área do tampo em formato de quadrado?
Provas
Questão presente nas seguintes provas
3134086
Ano: 2024
Disciplina: Raciocínio Lógico
Banca: Consulplan
Orgão: Pref. Pitangueiras-SP
Disciplina: Raciocínio Lógico
Banca: Consulplan
Orgão: Pref. Pitangueiras-SP
Provas:
Adriana e Beatriz são irmãs. Sabe-se que a diferença entre as idades de Adriana e Beatriz é 3 anos e, ainda, que a diferença
do quadrado de suas idades é 177 anos como mostrado a seguir:
A – B = 3 A 2 – B 2 = 177
Se Beatriz é a irmã mais nova, qual a idade de sua irmã Adriana?
A – B = 3 A 2 – B 2 = 177
Se Beatriz é a irmã mais nova, qual a idade de sua irmã Adriana?
Provas
Questão presente nas seguintes provas
Cadernos
Caderno Container