Foram encontradas 37 questões.
As emulsões constituem-se em dispersões de dois líquidos imiscíveis, obtidas pela ação de um tensoativo. Quanto aos tensoativos, pode-se afirmar que:
I. permitem a mistura relativamente estável de dois líquidos imiscíveis, devido a sua estrutura anfifílica, pois na mesma molécula uma porção é hidrofílica e outra e hidrofóbica.
II. em uma emulsão, o emulgente secundário é o responsável pela viscosidade do sistema.
III. atuam reduzindo a tensão interfacial de dois líquidos imiscíveis.
IV. aumentam a força de repulsão entre os líquidos imiscíveis.
V. podem atuar formando uma película protetora na interface da emulsão.
Assinale a alternativa que apresenta a(s) afirmação( ões) INCORRETAS:
Provas
Preencha as lacunas: As principais vias de administração parenteral são a __________________, a _________________ e a intramuscular. Pela via ________________ os fármacos em solução _______________ são absorvidos rapidamente dependendo da velocidade de fluxo sanguíneo no local da administração. Assinale a alternativa que contém as expressões que completam corretamente as lacunas do texto acima:
Provas
Avalie as informações abaixo:
I. Equivalentes farmacêuticos são medicamentos diferentes que contêm quantidades idênticas do mesmo fármaco.
II. Equivalentes terapêuticos são medicamentos que, ao serem administrados aos mesmos indivíduos, na mesma posologia, produzem essencialmente o mesmo efeito terapêutico.
III. Os fatores que podem influenciar a biodisponibilidade de fármacos administrados por via oral são as propriedades físico-químicas do fármaco e os fatores fisiológicos do paciente.
IV. Medicamentos bioequivalentes, são equivalentes farmacêuticos cuja velocidade e extensão de absorção não apresentam diferenças significativas.
V. Os estudos de pré-formulação consistem na elaboração de fórmulas com diferentes excipientes para um mesmo fármaco, definindo-se por aquela que apresentar melhor perfil de absorção.
Quantas das informações acima estão corretas?
Provas
A disponibilidade biológica (biodisponibilidade) é o objetivo fundamental, quando do desenvolvimento de um medicamento. Durante o processo de desenvolvimento, a indústria farmacêutica emprega estudos de biodisponibilidade para comparar diferentes formulações de modo a determinar qual delas apresenta o padrão de absorção desejável.
Assinale a alternativa que melhor representa os parâmetros a serem avaliados nos estudos de biodisponibilidade comparativa de duas formulações:
Provas
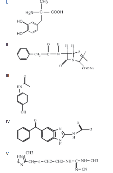
A química farmacêutica é a ciência cujas raízes se encontram em todos os ramos da química e da biologia. Preocupa- -se essencialmente com a compreensão e explicação dos mecanismos de ação dos fármacos. Nesta base, tenta estabelecer as relações entre a estrutura química e a atividade biológica dos fármacos. Abaixo, estão representadas as estruturas químicas de 5 (cinco) substâncias químicas com reconhecida atividade farmacológica. Sobre essas estruturas, responda à questão 26.

Relacione a estrutura química com a respectiva classe do medicamento:
( ) Analgésico
( ) Antibiótico
( ) Anti-helmíntico
( ) Anti-hipertensivo
( ) Anti-histamínico
Assinale a alternativa que apresenta a ordem correta, de cima para baixo:
Provas
Em relação ao procedimento para cópia de segurança, analise as proposições abaixo e, em seguida, assinale a alternativa correta:
I. Enviar os arquivos para um servidor de arquivos, quando disponível, é um procedimento necessário para manter uma cópia segura desses arquivos.
II. Salvar os arquivos com periodicidade em um dispositivo externo é uma maneira de garantir a segurança das informações.
III. Manter os arquivos apenas no computador pessoal em pastas diferentes garante a segurança dos mesmos.
IV. Enviar os arquivos através da internet para um serviço confiável de armazenamento de dados é outra maneira de manter os arquivos seguros.
Provas
Disciplina: TI - Redes de Computadores
Banca: ITEDES
Orgão: Pref. Quatro Barras-PR
Em relação à Internet, assinale a alternativa INCORRETA:
Provas
Em relação ao Windows XP, assinale a alternativa INCORRETA.
Provas
Assinale a alternativa cujas teclas ou combinações de teclas do Windows completam respectiva e corretamente o texto a seguir:
Após selecionar um arquivo, para alterar seu nome usa-se _____, para excluí-lo diretamente sem enviá-lo para a lixeira usa-se _____, para copiá-lo de uma pasta para outra é usada a sequência _____ e _____, e para movê-lo de uma pasta para outra é usada a sequência _____ e _____.
Provas
Com referência aos tipos de computadores, assinale a alternativa correta:
Provas
Caderno Container