Foram encontradas 40 questões.
- Atos AdministrativosFundamentos: Ato Administrativo
- Atos AdministrativosAtributos, Características e Prerrogativas
- Atos AdministrativosElementos, Requisitos e Pressupostos
Sobre a disciplina aplicável aos atos administrativos,é INCORRETO afirmar:
Provas
Questão presente nas seguintes provas
Considerando o entendimento predominante na doutrina brasileira acerca do processo administrativo disciplinar, é correto afirmar:
Provas
Questão presente nas seguintes provas
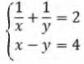
Determine o menor valor de x que pertence ao conjunto solução da equação abaixo.


Provas
Questão presente nas seguintes provas
Felipe descontou uma duplicata no valor de R$ 7.000,00 com vencimento em 1 mês. Calcule o valor aproximado da taxa de desconto racional simples utilizada, sabendo que foi descontado um valor de R$ 120,00 na operação.
Provas
Questão presente nas seguintes provas
Determine o aumento percentual sofrido pela área de um quadrado cujos lados foram aumentados em 50%.
Provas
Questão presente nas seguintes provas
No Brasil, podemos não estar na vanguarda tecnológica. Mas, na legislativa, acho que de vez em quando damos mostras de que temos condição, havendo vontade política, de aspirar a uma posição de destaque. Agora mesmo, leio aqui que se encontra em curso, na Câmara de Deputados, um projeto para a regulamentação da profissão de escritor. Já houve uma tentativa anterior, aliás estranhamente apoiada por alguns escritores profissionais, que não vingou. Mas deve ser uma área atraente demais para ainda não estar regulamentada. Claro, nem todas as atividades, ofícios e profissões estão ainda regulamentadas, mas a dos escritores parece ser importante em excesso, para tão prolongado esquecimento gorvenamental.
Não li o projeto, mas é claro que ele não pode ser discriminatório. Para definir o escritor, tem-se que ser o mais abrangente possível. Escreveu, valeu. Valerão, portanto, não só livros como panfletos, discursos, sermões, cartas, bilhetes, diários, memorandos, relatórios, bulas de remédio e - por que não? - um caprichado cardápio de restaurante. Como dizer a um sujeito que escreveu que ele não é escritor? Acusações de preconceito, incorreção política e discriminação se tornarão inevitáveis, se todo aquele que escrever não for classificável como escritor. Bem verdade que, de acordo também com o que li, caberá aos sindicatos de escritores essa árdua tarefa - e também eles terão o mesmo problema para rejeitar pretendentes.
Conhecemos o Brasil, não conhecemos? Finjamos que conhecemos, pelo menos. Que tramas logo entrevemos no futuro, se o projeto for transformado em lei? Posso logo conceber os casos tristes dos aposentados que escrevem regularmente para os jornais (mais um golpe nessa velharia desagradável que não serve para nada, pau neles) e serão, cedo ou tarde, flagrados no exercício ilegal da profissão. Claro, o projeto atual não deve prever isto, mas outros para complementá- lo advirão , principalmente porque assim se gerarão mais burocracia e mais empregos de favor, e os escrevedores de cartas aos jornais ou se filiam ao sindicato ou arrumam um amigo filiado, para coassinar as cartas, na condição de “escritor responsável” . Infortúnio que, aliás, deverá abater-se sobre diversos outros, como síndicos de prédios ou inspetores de obras, ou quem quer que seja obrigado a escrever relatórios. Talvez até placas, quem sabe?[...]
Sei que vocês pensam que eu brinco, mas não brinco. O Brasil tem leis interessantíssimas, que vieram com as melhores intenções e rendem situações intrigantes. Por exemplo, como se sabe, se o sujeito for pego matando uma tartaruga protegida, vai preso sem fiança. Em contrapartida, se encher a cara, sair de carro e matar umas quatro pessoas, paga fiança e vai para casa. No caso da tartaruga, alguém raciocinará que é mais negócio matar o fiscal do Ibama, mesmo com testemunhas. Principalmente se estiver um pouco bêbado, porque aqui é atenuante. É só escapar do flagrante, mostrar ser réu primário, conseguir responder ao processo em liberdade e, com azar, pegar aí seus dois aninhos de cana efetiva (em regime semiaberto). Portanto, se aqui é mais negócio matar um homem do que uma tartaruga, não brinco. Acredito que nos possam perpetrar qualquer absurdo, inclusive esses de que acabo de falar e outros, que não chegaram a me ocorrer, mas são possíveis. Entretanto, há sempre um lado bom. Por exemplo, se algum dia exigirem carteirinha de escritor para eu escrever, não escrevo mais . Será, quiçá, uma boa notícia para alguns. Ou muitos, talvez, ainda não promulgaram uma Lei de Proteção da Literatura Nacional, obrigando todo mundo a gostar de tudo o que o escritor brasileiro escreve. Embora, é claro, eu alimente fundadas esperanças, pois uma boa lei resolve qualquer coisa.
RIBEIRO, João Ubaldo. O Conselheiro Come.Rio: Nova Fronteira,2000,p.48ss.
A proposição cujo conteúdo o autor pretende que o leitor interprete, não como possível ou duvidoso, mas como uma necessidade, é:Não li o projeto, mas é claro que ele não pode ser discriminatório. Para definir o escritor, tem-se que ser o mais abrangente possível. Escreveu, valeu. Valerão, portanto, não só livros como panfletos, discursos, sermões, cartas, bilhetes, diários, memorandos, relatórios, bulas de remédio e - por que não? - um caprichado cardápio de restaurante. Como dizer a um sujeito que escreveu que ele não é escritor? Acusações de preconceito, incorreção política e discriminação se tornarão inevitáveis, se todo aquele que escrever não for classificável como escritor. Bem verdade que, de acordo também com o que li, caberá aos sindicatos de escritores essa árdua tarefa - e também eles terão o mesmo problema para rejeitar pretendentes.
Conhecemos o Brasil, não conhecemos? Finjamos que conhecemos, pelo menos. Que tramas logo entrevemos no futuro, se o projeto for transformado em lei? Posso logo conceber os casos tristes dos aposentados que escrevem regularmente para os jornais (mais um golpe nessa velharia desagradável que não serve para nada, pau neles) e serão, cedo ou tarde, flagrados no exercício ilegal da profissão. Claro, o projeto atual não deve prever isto, mas outros para complementá- lo advirão , principalmente porque assim se gerarão mais burocracia e mais empregos de favor, e os escrevedores de cartas aos jornais ou se filiam ao sindicato ou arrumam um amigo filiado, para coassinar as cartas, na condição de “escritor responsável” . Infortúnio que, aliás, deverá abater-se sobre diversos outros, como síndicos de prédios ou inspetores de obras, ou quem quer que seja obrigado a escrever relatórios. Talvez até placas, quem sabe?[...]
Sei que vocês pensam que eu brinco, mas não brinco. O Brasil tem leis interessantíssimas, que vieram com as melhores intenções e rendem situações intrigantes. Por exemplo, como se sabe, se o sujeito for pego matando uma tartaruga protegida, vai preso sem fiança. Em contrapartida, se encher a cara, sair de carro e matar umas quatro pessoas, paga fiança e vai para casa. No caso da tartaruga, alguém raciocinará que é mais negócio matar o fiscal do Ibama, mesmo com testemunhas. Principalmente se estiver um pouco bêbado, porque aqui é atenuante. É só escapar do flagrante, mostrar ser réu primário, conseguir responder ao processo em liberdade e, com azar, pegar aí seus dois aninhos de cana efetiva (em regime semiaberto). Portanto, se aqui é mais negócio matar um homem do que uma tartaruga, não brinco. Acredito que nos possam perpetrar qualquer absurdo, inclusive esses de que acabo de falar e outros, que não chegaram a me ocorrer, mas são possíveis. Entretanto, há sempre um lado bom. Por exemplo, se algum dia exigirem carteirinha de escritor para eu escrever, não escrevo mais . Será, quiçá, uma boa notícia para alguns. Ou muitos, talvez, ainda não promulgaram uma Lei de Proteção da Literatura Nacional, obrigando todo mundo a gostar de tudo o que o escritor brasileiro escreve. Embora, é claro, eu alimente fundadas esperanças, pois uma boa lei resolve qualquer coisa.
RIBEIRO, João Ubaldo. O Conselheiro Come.Rio: Nova Fronteira,2000,p.48ss.
Provas
Questão presente nas seguintes provas
No Brasil, podemos não estar na vanguarda tecnológica. Mas, na legislativa, acho que de vez em quando damos mostras de que temos condição, havendo vontade política, de aspirar a uma posição de destaque. Agora mesmo, leio aqui que se encontra em curso, na Câmara de Deputados, um projeto para a regulamentação da profissão de escritor. Já houve uma tentativa anterior, aliás estranhamente apoiada por alguns escritores profissionais, que não vingou. Mas deve ser uma área atraente demais para ainda não estar regulamentada. Claro, nem todas as atividades, ofícios e profissões estão ainda regulamentadas, mas a dos escritores parece ser importante em excesso, para tão prolongado esquecimento gorvenamental.
Não li o projeto, mas é claro que ele não pode ser discriminatório. Para definir o escritor, tem-se que ser o mais abrangente possível. Escreveu, valeu. Valerão, portanto, não só livros como panfletos, discursos, sermões, cartas, bilhetes, diários, memorandos, relatórios, bulas de remédio e - por que não? - um caprichado cardápio de restaurante. Como dizer a um sujeito que escreveu que ele não é escritor? Acusações de preconceito, incorreção política e discriminação se tornarão inevitáveis, se todo aquele que escrever não for classificável como escritor. Bem verdade que, de acordo também com o que li, caberá aos sindicatos de escritores essa árdua tarefa - e também eles terão o mesmo problema para rejeitar pretendentes.
Conhecemos o Brasil, não conhecemos? Finjamos que conhecemos, pelo menos. Que tramas logo entrevemos no futuro, se o projeto for transformado em lei? Posso logo conceber os casos tristes dos aposentados que escrevem regularmente para os jornais (mais um golpe nessa velharia desagradável que não serve para nada, pau neles) e serão, cedo ou tarde, flagrados no exercício ilegal da profissão. Claro, o projeto atual não deve prever isto, mas outros para complementá- lo advirão , principalmente porque assim se gerarão mais burocracia e mais empregos de favor, e os escrevedores de cartas aos jornais ou se filiam ao sindicato ou arrumam um amigo filiado, para coassinar as cartas, na condição de “escritor responsável” . Infortúnio que, aliás, deverá abater-se sobre diversos outros, como síndicos de prédios ou inspetores de obras, ou quem quer que seja obrigado a escrever relatórios. Talvez até placas, quem sabe?[...]
Sei que vocês pensam que eu brinco, mas não brinco. O Brasil tem leis interessantíssimas, que vieram com as melhores intenções e rendem situações intrigantes. Por exemplo, como se sabe, se o sujeito for pego matando uma tartaruga protegida, vai preso sem fiança. Em contrapartida, se encher a cara, sair de carro e matar umas quatro pessoas, paga fiança e vai para casa. No caso da tartaruga, alguém raciocinará que é mais negócio matar o fiscal do Ibama, mesmo com testemunhas. Principalmente se estiver um pouco bêbado, porque aqui é atenuante. É só escapar do flagrante, mostrar ser réu primário, conseguir responder ao processo em liberdade e, com azar, pegar aí seus dois aninhos de cana efetiva (em regime semiaberto). Portanto, se aqui é mais negócio matar um homem do que uma tartaruga, não brinco. Acredito que nos possam perpetrar qualquer absurdo, inclusive esses de que acabo de falar e outros, que não chegaram a me ocorrer, mas são possíveis. Entretanto, há sempre um lado bom. Por exemplo, se algum dia exigirem carteirinha de escritor para eu escrever, não escrevo mais . Será, quiçá, uma boa notícia para alguns. Ou muitos, talvez, ainda não promulgaram uma Lei de Proteção da Literatura Nacional, obrigando todo mundo a gostar de tudo o que o escritor brasileiro escreve. Embora, é claro, eu alimente fundadas esperanças, pois uma boa lei resolve qualquer coisa.
RIBEIRO, João Ubaldo. O Conselheiro Come.Rio: Nova Fronteira,2000,p.48ss.
A passagem em que o cronista faz concessão a ponto de vista divergente do seu - ponto de vista que irá imediatamente refutar - é a seguinte:Não li o projeto, mas é claro que ele não pode ser discriminatório. Para definir o escritor, tem-se que ser o mais abrangente possível. Escreveu, valeu. Valerão, portanto, não só livros como panfletos, discursos, sermões, cartas, bilhetes, diários, memorandos, relatórios, bulas de remédio e - por que não? - um caprichado cardápio de restaurante. Como dizer a um sujeito que escreveu que ele não é escritor? Acusações de preconceito, incorreção política e discriminação se tornarão inevitáveis, se todo aquele que escrever não for classificável como escritor. Bem verdade que, de acordo também com o que li, caberá aos sindicatos de escritores essa árdua tarefa - e também eles terão o mesmo problema para rejeitar pretendentes.
Conhecemos o Brasil, não conhecemos? Finjamos que conhecemos, pelo menos. Que tramas logo entrevemos no futuro, se o projeto for transformado em lei? Posso logo conceber os casos tristes dos aposentados que escrevem regularmente para os jornais (mais um golpe nessa velharia desagradável que não serve para nada, pau neles) e serão, cedo ou tarde, flagrados no exercício ilegal da profissão. Claro, o projeto atual não deve prever isto, mas outros para complementá- lo advirão , principalmente porque assim se gerarão mais burocracia e mais empregos de favor, e os escrevedores de cartas aos jornais ou se filiam ao sindicato ou arrumam um amigo filiado, para coassinar as cartas, na condição de “escritor responsável” . Infortúnio que, aliás, deverá abater-se sobre diversos outros, como síndicos de prédios ou inspetores de obras, ou quem quer que seja obrigado a escrever relatórios. Talvez até placas, quem sabe?[...]
Sei que vocês pensam que eu brinco, mas não brinco. O Brasil tem leis interessantíssimas, que vieram com as melhores intenções e rendem situações intrigantes. Por exemplo, como se sabe, se o sujeito for pego matando uma tartaruga protegida, vai preso sem fiança. Em contrapartida, se encher a cara, sair de carro e matar umas quatro pessoas, paga fiança e vai para casa. No caso da tartaruga, alguém raciocinará que é mais negócio matar o fiscal do Ibama, mesmo com testemunhas. Principalmente se estiver um pouco bêbado, porque aqui é atenuante. É só escapar do flagrante, mostrar ser réu primário, conseguir responder ao processo em liberdade e, com azar, pegar aí seus dois aninhos de cana efetiva (em regime semiaberto). Portanto, se aqui é mais negócio matar um homem do que uma tartaruga, não brinco. Acredito que nos possam perpetrar qualquer absurdo, inclusive esses de que acabo de falar e outros, que não chegaram a me ocorrer, mas são possíveis. Entretanto, há sempre um lado bom. Por exemplo, se algum dia exigirem carteirinha de escritor para eu escrever, não escrevo mais . Será, quiçá, uma boa notícia para alguns. Ou muitos, talvez, ainda não promulgaram uma Lei de Proteção da Literatura Nacional, obrigando todo mundo a gostar de tudo o que o escritor brasileiro escreve. Embora, é claro, eu alimente fundadas esperanças, pois uma boa lei resolve qualquer coisa.
RIBEIRO, João Ubaldo. O Conselheiro Come.Rio: Nova Fronteira,2000,p.48ss.
Provas
Questão presente nas seguintes provas
- Sintaxe
- MorfologiaPronomesPronomes PessoaisPronomes Pessoais Oblíquos
- SemânticaSinônimos e Antônimos
- Interpretação de TextosCoesão e Coerência
- Interpretação de TextosSubstituição/Reescritura de Texto
Com a substituição do complemento verbal por um pronome pessoal oblíquo, infringe-se norma de regência em:
Provas
Questão presente nas seguintes provas
No Brasil, podemos não estar na vanguarda tecnológica. Mas, na legislativa, acho que de vez em quando damos mostras de que temos condição, havendo vontade política, de aspirar a uma posição de destaque. Agora mesmo, leio aqui que se encontra em curso, na Câmara de Deputados, um projeto para a regulamentação da profissão de escritor. Já houve uma tentativa anterior, aliás estranhamente apoiada por alguns escritores profissionais, que não vingou. Mas deve ser uma área atraente demais para ainda não estar regulamentada. Claro, nem todas as atividades, ofícios e profissões estão ainda regulamentadas, mas a dos escritores parece ser importante em excesso, para tão prolongado esquecimento gorvenamental.
Não li o projeto, mas é claro que ele não pode ser discriminatório. Para definir o escritor, tem-se que ser o mais abrangente possível. Escreveu, valeu. Valerão, portanto, não só livros como panfletos, discursos, sermões, cartas, bilhetes, diários, memorandos, relatórios, bulas de remédio e - por que não? - um caprichado cardápio de restaurante. Como dizer a um sujeito que escreveu que ele não é escritor? Acusações de preconceito, incorreção política e discriminação se tornarão inevitáveis, se todo aquele que escrever não for classificável como escritor. Bem verdade que, de acordo também com o que li, caberá aos sindicatos de escritores essa árdua tarefa - e também eles terão o mesmo problema para rejeitar pretendentes.
Conhecemos o Brasil, não conhecemos? Finjamos que conhecemos, pelo menos. Que tramas logo entrevemos no futuro, se o projeto for transformado em lei? Posso logo conceber os casos tristes dos aposentados que escrevem regularmente para os jornais (mais um golpe nessa velharia desagradável que não serve para nada, pau neles) e serão, cedo ou tarde, flagrados no exercício ilegal da profissão. Claro, o projeto atual não deve prever isto, mas outros para complementá- lo advirão , principalmente porque assim se gerarão mais burocracia e mais empregos de favor, e os escrevedores de cartas aos jornais ou se filiam ao sindicato ou arrumam um amigo filiado, para coassinar as cartas, na condição de “escritor responsável” . Infortúnio que, aliás, deverá abater-se sobre diversos outros, como síndicos de prédios ou inspetores de obras, ou quem quer que seja obrigado a escrever relatórios. Talvez até placas, quem sabe?[...]
Sei que vocês pensam que eu brinco, mas não brinco. O Brasil tem leis interessantíssimas, que vieram com as melhores intenções e rendem situações intrigantes. Por exemplo, como se sabe, se o sujeito for pego matando uma tartaruga protegida, vai preso sem fiança. Em contrapartida, se encher a cara, sair de carro e matar umas quatro pessoas, paga fiança e vai para casa. No caso da tartaruga, alguém raciocinará que é mais negócio matar o fiscal do Ibama, mesmo com testemunhas. Principalmente se estiver um pouco bêbado, porque aqui é atenuante. É só escapar do flagrante, mostrar ser réu primário, conseguir responder ao processo em liberdade e, com azar, pegar aí seus dois aninhos de cana efetiva (em regime semiaberto). Portanto, se aqui é mais negócio matar um homem do que uma tartaruga, não brinco. Acredito que nos possam perpetrar qualquer absurdo, inclusive esses de que acabo de falar e outros, que não chegaram a me ocorrer, mas são possíveis. Entretanto, há sempre um lado bom. Por exemplo, se algum dia exigirem carteirinha de escritor para eu escrever, não escrevo mais . Será, quiçá, uma boa notícia para alguns. Ou muitos, talvez, ainda não promulgaram uma Lei de Proteção da Literatura Nacional, obrigando todo mundo a gostar de tudo o que o escritor brasileiro escreve. Embora, é claro, eu alimente fundadas esperanças, pois uma boa lei resolve qualquer coisa.
RIBEIRO, João Ubaldo. O Conselheiro Come.Rio: Nova Fronteira,2000,p.48ss.
Há evidente equívoco na determinação do sentido com que a palavra destacada está empregada pelo cronista em:Não li o projeto, mas é claro que ele não pode ser discriminatório. Para definir o escritor, tem-se que ser o mais abrangente possível. Escreveu, valeu. Valerão, portanto, não só livros como panfletos, discursos, sermões, cartas, bilhetes, diários, memorandos, relatórios, bulas de remédio e - por que não? - um caprichado cardápio de restaurante. Como dizer a um sujeito que escreveu que ele não é escritor? Acusações de preconceito, incorreção política e discriminação se tornarão inevitáveis, se todo aquele que escrever não for classificável como escritor. Bem verdade que, de acordo também com o que li, caberá aos sindicatos de escritores essa árdua tarefa - e também eles terão o mesmo problema para rejeitar pretendentes.
Conhecemos o Brasil, não conhecemos? Finjamos que conhecemos, pelo menos. Que tramas logo entrevemos no futuro, se o projeto for transformado em lei? Posso logo conceber os casos tristes dos aposentados que escrevem regularmente para os jornais (mais um golpe nessa velharia desagradável que não serve para nada, pau neles) e serão, cedo ou tarde, flagrados no exercício ilegal da profissão. Claro, o projeto atual não deve prever isto, mas outros para complementá- lo advirão , principalmente porque assim se gerarão mais burocracia e mais empregos de favor, e os escrevedores de cartas aos jornais ou se filiam ao sindicato ou arrumam um amigo filiado, para coassinar as cartas, na condição de “escritor responsável” . Infortúnio que, aliás, deverá abater-se sobre diversos outros, como síndicos de prédios ou inspetores de obras, ou quem quer que seja obrigado a escrever relatórios. Talvez até placas, quem sabe?[...]
Sei que vocês pensam que eu brinco, mas não brinco. O Brasil tem leis interessantíssimas, que vieram com as melhores intenções e rendem situações intrigantes. Por exemplo, como se sabe, se o sujeito for pego matando uma tartaruga protegida, vai preso sem fiança. Em contrapartida, se encher a cara, sair de carro e matar umas quatro pessoas, paga fiança e vai para casa. No caso da tartaruga, alguém raciocinará que é mais negócio matar o fiscal do Ibama, mesmo com testemunhas. Principalmente se estiver um pouco bêbado, porque aqui é atenuante. É só escapar do flagrante, mostrar ser réu primário, conseguir responder ao processo em liberdade e, com azar, pegar aí seus dois aninhos de cana efetiva (em regime semiaberto). Portanto, se aqui é mais negócio matar um homem do que uma tartaruga, não brinco. Acredito que nos possam perpetrar qualquer absurdo, inclusive esses de que acabo de falar e outros, que não chegaram a me ocorrer, mas são possíveis. Entretanto, há sempre um lado bom. Por exemplo, se algum dia exigirem carteirinha de escritor para eu escrever, não escrevo mais . Será, quiçá, uma boa notícia para alguns. Ou muitos, talvez, ainda não promulgaram uma Lei de Proteção da Literatura Nacional, obrigando todo mundo a gostar de tudo o que o escritor brasileiro escreve. Embora, é claro, eu alimente fundadas esperanças, pois uma boa lei resolve qualquer coisa.
RIBEIRO, João Ubaldo. O Conselheiro Come.Rio: Nova Fronteira,2000,p.48ss.
Provas
Questão presente nas seguintes provas
No Brasil, podemos não estar na vanguarda tecnológica. Mas, na legislativa, acho que de vez em quando damos mostras de que temos condição, havendo vontade política, de aspirar a uma posição de destaque. Agora mesmo, leio aqui que se encontra em curso, na Câmara de Deputados, um projeto para a regulamentação da profissão de escritor. Já houve uma tentativa anterior, aliás estranhamente apoiada por alguns escritores profissionais, que não vingou. Mas deve ser uma área atraente demais para ainda não estar regulamentada. Claro, nem todas as atividades, ofícios e profissões estão ainda regulamentadas, mas a dos escritores parece ser importante em excesso, para tão prolongado esquecimento gorvenamental.
Não li o projeto, mas é claro que ele não pode ser discriminatório. Para definir o escritor, tem-se que ser o mais abrangente possível. Escreveu, valeu. Valerão, portanto, não só livros como panfletos, discursos, sermões, cartas, bilhetes, diários, memorandos, relatórios, bulas de remédio e - por que não? - um caprichado cardápio de restaurante. Como dizer a um sujeito que escreveu que ele não é escritor? Acusações de preconceito, incorreção política e discriminação se tornarão inevitáveis, se todo aquele que escrever não for classificável como escritor. Bem verdade que, de acordo também com o que li, caberá aos sindicatos de escritores essa árdua tarefa - e também eles terão o mesmo problema para rejeitar pretendentes.
Conhecemos o Brasil, não conhecemos? Finjamos que conhecemos, pelo menos. Que tramas logo entrevemos no futuro, se o projeto for transformado em lei? Posso logo conceber os casos tristes dos aposentados que escrevem regularmente para os jornais (mais um golpe nessa velharia desagradável que não serve para nada, pau neles) e serão, cedo ou tarde, flagrados no exercício ilegal da profissão. Claro, o projeto atual não deve prever isto, mas outros para complementá- lo advirão , principalmente porque assim se gerarão mais burocracia e mais empregos de favor, e os escrevedores de cartas aos jornais ou se filiam ao sindicato ou arrumam um amigo filiado, para coassinar as cartas, na condição de “escritor responsável” . Infortúnio que, aliás, deverá abater-se sobre diversos outros, como síndicos de prédios ou inspetores de obras, ou quem quer que seja obrigado a escrever relatórios. Talvez até placas, quem sabe?[...]
Sei que vocês pensam que eu brinco, mas não brinco. O Brasil tem leis interessantíssimas, que vieram com as melhores intenções e rendem situações intrigantes. Por exemplo, como se sabe, se o sujeito for pego matando uma tartaruga protegida, vai preso sem fiança. Em contrapartida, se encher a cara, sair de carro e matar umas quatro pessoas, paga fiança e vai para casa. No caso da tartaruga, alguém raciocinará que é mais negócio matar o fiscal do Ibama, mesmo com testemunhas. Principalmente se estiver um pouco bêbado, porque aqui é atenuante. É só escapar do flagrante, mostrar ser réu primário, conseguir responder ao processo em liberdade e, com azar, pegar aí seus dois aninhos de cana efetiva (em regime semiaberto). Portanto, se aqui é mais negócio matar um homem do que uma tartaruga, não brinco. Acredito que nos possam perpetrar qualquer absurdo, inclusive esses de que acabo de falar e outros, que não chegaram a me ocorrer, mas são possíveis. Entretanto, há sempre um lado bom. Por exemplo, se algum dia exigirem carteirinha de escritor para eu escrever, não escrevo mais . Será, quiçá, uma boa notícia para alguns. Ou muitos, talvez, ainda não promulgaram uma Lei de Proteção da Literatura Nacional, obrigando todo mundo a gostar de tudo o que o escritor brasileiro escreve. Embora, é claro, eu alimente fundadas esperanças, pois uma boa lei resolve qualquer coisa.
RIBEIRO, João Ubaldo. O Conselheiro Come.Rio: Nova Fronteira,2000,p.48ss.
Em: “Escreveu, valeu.” (§ 2), a primeira oração do período expressa, no texto, a seguinte circunstância:Não li o projeto, mas é claro que ele não pode ser discriminatório. Para definir o escritor, tem-se que ser o mais abrangente possível. Escreveu, valeu. Valerão, portanto, não só livros como panfletos, discursos, sermões, cartas, bilhetes, diários, memorandos, relatórios, bulas de remédio e - por que não? - um caprichado cardápio de restaurante. Como dizer a um sujeito que escreveu que ele não é escritor? Acusações de preconceito, incorreção política e discriminação se tornarão inevitáveis, se todo aquele que escrever não for classificável como escritor. Bem verdade que, de acordo também com o que li, caberá aos sindicatos de escritores essa árdua tarefa - e também eles terão o mesmo problema para rejeitar pretendentes.
Conhecemos o Brasil, não conhecemos? Finjamos que conhecemos, pelo menos. Que tramas logo entrevemos no futuro, se o projeto for transformado em lei? Posso logo conceber os casos tristes dos aposentados que escrevem regularmente para os jornais (mais um golpe nessa velharia desagradável que não serve para nada, pau neles) e serão, cedo ou tarde, flagrados no exercício ilegal da profissão. Claro, o projeto atual não deve prever isto, mas outros para complementá- lo advirão , principalmente porque assim se gerarão mais burocracia e mais empregos de favor, e os escrevedores de cartas aos jornais ou se filiam ao sindicato ou arrumam um amigo filiado, para coassinar as cartas, na condição de “escritor responsável” . Infortúnio que, aliás, deverá abater-se sobre diversos outros, como síndicos de prédios ou inspetores de obras, ou quem quer que seja obrigado a escrever relatórios. Talvez até placas, quem sabe?[...]
Sei que vocês pensam que eu brinco, mas não brinco. O Brasil tem leis interessantíssimas, que vieram com as melhores intenções e rendem situações intrigantes. Por exemplo, como se sabe, se o sujeito for pego matando uma tartaruga protegida, vai preso sem fiança. Em contrapartida, se encher a cara, sair de carro e matar umas quatro pessoas, paga fiança e vai para casa. No caso da tartaruga, alguém raciocinará que é mais negócio matar o fiscal do Ibama, mesmo com testemunhas. Principalmente se estiver um pouco bêbado, porque aqui é atenuante. É só escapar do flagrante, mostrar ser réu primário, conseguir responder ao processo em liberdade e, com azar, pegar aí seus dois aninhos de cana efetiva (em regime semiaberto). Portanto, se aqui é mais negócio matar um homem do que uma tartaruga, não brinco. Acredito que nos possam perpetrar qualquer absurdo, inclusive esses de que acabo de falar e outros, que não chegaram a me ocorrer, mas são possíveis. Entretanto, há sempre um lado bom. Por exemplo, se algum dia exigirem carteirinha de escritor para eu escrever, não escrevo mais . Será, quiçá, uma boa notícia para alguns. Ou muitos, talvez, ainda não promulgaram uma Lei de Proteção da Literatura Nacional, obrigando todo mundo a gostar de tudo o que o escritor brasileiro escreve. Embora, é claro, eu alimente fundadas esperanças, pois uma boa lei resolve qualquer coisa.
RIBEIRO, João Ubaldo. O Conselheiro Come.Rio: Nova Fronteira,2000,p.48ss.
Provas
Questão presente nas seguintes provas
Cadernos
Caderno Container