Foram encontradas 69 questões.
Considere a viga simplesmente apoiada de uma ponte com vão de 20 m, submetida à carga uniformemente distribuída de 40 kN/m e a uma carga móvel representada na figura.

O momento fletor máximo no ponto C, em kNm, é:
Provas
O canal aberto de concreto, cujo corte é representado pela figura, com profundidade de 1,0 m, escoa água a uma velocidade de 2 m/s até certo ponto, onde, devido a uma queda, a velocidade se eleva a 6 m/s, reduzindo a profundidade a 0,5 m.

Se forem desprezadas as perdas por atrito, e considerando a aceleração da gravidade 10 m/s², a diferença de nível entre os pontos A e B é:
Provas
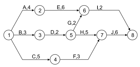
Uma obra foi planejada conforme o cronograma PERT-CPM da figura, no qual as atividades são representadas por letras, seguidas pelo seu tempo de execução, em dias.

O tempo de conclusão dessa obra, em dias, é:
Provas
Considere a planilha do programa EXCEL© da figura.

Quando se deseja obter a função trigonométrica seno na célula B2, a partir do ângulo, em graus, da célula A2, deve-se digitar o comando:
Provas
No projeto de uma cobertura metálica para as combinações de ações normais nos estados limites de escoamento e flambagem, utilizou-se um perfil de aço MR250
de seção compacta como viga biapoiada, com contenção
lateral contínua. Se o perfil adotado possuir módulo de
resistência plástico de 1100 cm³, o seu momento resistente de cálculo, dado pela fórmula
, é:
Provas
Na tesoura de madeira da figura, o pendural tem seção transversal retangular com medidas 7,5 cm por 10,0 cm.

O comprimento máximo desse pendural é de
Provas
No planejamento do revestimento com emboço de alvenaria de uma construção, utilizou-se a composição de custos unitários a seguir.

Considerando que os encargos sociais sobre o custo da mão de obra seja de 125%, o custo do metro quadrado de emboço, em reais, será
Provas
A treliça da figura foi projetada para suportar o carregamento de uma cobertura.

Na treliça esquematizada da figura, as barras AB e AC estão submetidas a forças de compressão, em kN, de
Provas
A viga da figura está apoiada no ponto A e pendurada no ponto B por meio de um cabo de aço com 2 m de comprimento e área da seção transversal de 5 cm².

Se o módulo de elasticidade do aço é 200 GPa, o cabo alongou
Provas
A viga simplesmente apoiada esquematizada na figura, com vão de 6 m e balanço de 2 m, está submetida a uma carga uniformemente distribuída de 20 kN/m em toda a sua extensão e a uma carga concentrada na extremidade do balanço.

O valor da carga P para que a reação no apoio B seja nula é:
Provas
Caderno Container