Foram encontradas 40 questões.
Um concurso público ofereceu vagas para apenas dois cargos: A e B. O gráfico de setores a seguir mostra a proporção entre o número de candidatos inscritos para esses dois cargos.

Se 220 pessoas se inscreveram para o cargo B, o número que representa a quantidade de pessoas que se inscreveram para o cargo A está mais bem representado na seguinte alternativa:
Provas
Provas
Provas
Provas
Provas
A seguir temos a arrecadação mensal, em reais, de uma pequena empresa no primeiro semestre de um determinado ano:
Janeiro: R$ 8.500
Fevereiro: R$ 6.400
Março: R$ 10.200
Abril: R$ 9.000
Maio: R$ 4.800
Junho: R$ 6.100
A arrecadação média dessa empresa, em reais, nesse semestre correspondeu a:
Provas
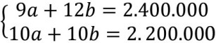
Uma concessionária de automóveis, em 2024, vendeu 9 carros do modelo A e 12 carros do modelo B, arrecadando um total de dois milhões e quatrocentos mil reais. Com isso, superou suas vendas em 2023, ano em que vendeu 10 carros do modelo A e 10 carros do modelo B, cujo total arrecadado foi de dois milhões e duzentos mil reais. Sabendo que os valores desses dois modelos de automóveis não sofreram alterações nesses dois anos e assumindo que as incógnitas “a” e “b” representam o preço, em reais, dos modelos de carro A e B respectivamente, o Sistema de equações que nos fornece os valores corretos das incógnitas “a” e “b” é:
Provas
Provas
Provas
Provas
Caderno Container