Foram encontradas 50 questões.
Pode-se afirmar que o simétrico e o módulo de -6 são, respectivamente:
Provas
Na figura, os quadrados menores têm, cada um, 8 cm² de área. O comprimento do lado AB é

Provas
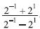
Efetuando-se
, obtém-se
Provas
Leia o texto para responder às questões de números 01 a 11.
A tecnologia pode ajudar...
Uma vez por ano, oito pessoas sentam-se em torno de uma mesa para discutir se é preciso fazer alterações nas regras do futebol. Trata-se do International Board, comitê formado por quatro representantes da Fifa (a federação internacional) e quatro das federações inglesa, escocesa, galesa e irlandesa, uma deferência à origem britânica do esporte. Na pauta do encontro deste ano, realizada em um paraíso, Lucerna, na Suíça, discutiu-se uma mudança revolucionária: o uso da eletrônica para decidir lances duvidosos. As propostas eram três: implantar um chip na bola para determinar se ela entrou ou não no gol; usar câmeras, em vez de um chip, para esse mesmo fim; e permitir que o juiz consulte um vídeo em lances polêmicos. O fato de que esta Copa não contará com nenhum desses recursos mostra quanto os dirigentes do futebol estão distantes de outros esportes. Havia a esperança de que neste mundial alguma tecnologia fosse usada pela primeira vez nos lances duvidosos. O primeiro teste da bola chipada ocorreu no campeonato mundial para menores de 17 anos, no fim do ano passado, no Peru. Não agradou. Especulou-se que o teste só ocorreu porque a bola proposta foi feita por uma tradicional patrocinadora da Fifa. "Consideramos que a nova tecnologia não está pronta", limitou-se a explicar o secretário-geral da Fifa. Por isso, nos casos de lances duvidosos na Alemanha, que fatalmente ocorrerão, será preciso continuar confiando nos olhos dos juízes. Vários precedentes, mesmo em Copas do Mundo, mostram que nem sempre eles acertam. Os argumentos contra o uso da tecnologia não resistem ao bom senso. O mais famoso deles é feito pelo presidente da Fifa em pessoa, Sepp Blatter. "Se o jogo ficar científico, perderá a emoção", ele costuma dizer. É o caso de
Na frase – "Por isso, nos casos de lances duvidosos na Alemanha, que fatalmente ocorrerão, será preciso continuar confiando nos olhos dos juízes." – o trecho em destaque indica que
Provas
Leia o texto para responder às questões de números 01 a 11.
A tecnologia pode ajudar...
Uma vez por ano, oito pessoas sentam-se em torno de uma mesa para discutir se é preciso fazer alterações nas regras do futebol. Trata-se do International Board, comitê formado por quatro representantes da Fifa (a federação internacional) e quatro das federações inglesa, escocesa, galesa e irlandesa, uma deferência à origem britânica do esporte. Na pauta do encontro deste ano, realizada em um paraíso, Lucerna, na Suíça, discutiu-se uma mudança revolucionária: o uso da eletrônica para decidir lances duvidosos. As propostas eram três: implantar um chip na bola para determinar se ela entrou ou não no gol; usar câmeras, em vez de um chip, para esse mesmo fim; e permitir que o juiz consulte um vídeo em lances polêmicos. O fato de que esta Copa não contará com nenhum desses recursos mostra quanto os dirigentes do futebol estão distantes de outros esportes. Havia a esperança de que neste mundial alguma tecnologia fosse usada pela primeira vez nos lances duvidosos. O primeiro teste da bola chipada ocorreu no campeonato mundial para menores de 17 anos, no fim do ano passado, no Peru. Não agradou. Especulou-se que o teste só ocorreu porque a bola proposta foi feita por uma tradicional patrocinadora da Fifa. "Consideramos que a nova tecnologia não está pronta", limitou-se a explicar o secretário-geral da Fifa. Por isso, nos casos de lances duvidosos na Alemanha, que fatalmente ocorrerão, será preciso continuar confiando nos olhos dos juízes. Vários precedentes, mesmo em Copas do Mundo, mostram que nem sempre eles acertam. Os argumentos contra o uso da tecnologia não resistem ao bom senso. O mais famoso deles é feito pelo presidente da Fifa em pessoa, Sepp Blatter. "Se o jogo ficar científico, perderá a emoção", ele costuma dizer. É o caso de
Considere a frase:
– ... se a queixa é indevida, o apelante é punido, o que inibe a choradeira inútil.
Os antônimos de punido e inibe são, respectivamente:
Provas
Leia o texto para responder às questões de números 01 a 11.
A tecnologia pode ajudar...
Uma vez por ano, oito pessoas sentam-se em torno de uma mesa para discutir se é preciso fazer alterações nas regras do futebol. Trata-se do International Board, comitê formado por quatro representantes da Fifa (a federação internacional) e quatro das federações inglesa, escocesa, galesa e irlandesa, uma deferência à origem britânica do esporte. Na pauta do encontro deste ano, realizada em um paraíso, Lucerna, na Suíça, discutiu-se uma mudança revolucionária: o uso da eletrônica para decidir lances duvidosos. As propostas eram três: implantar um chip na bola para determinar se ela entrou ou não no gol; usar câmeras, em vez de um chip, para esse mesmo fim; e permitir que o juiz consulte um vídeo em lances polêmicos. O fato de que esta Copa não contará com nenhum desses recursos mostra quanto os dirigentes do futebol estão distantes de outros esportes. Havia a esperança de que neste mundial alguma tecnologia fosse usada pela primeira vez nos lances duvidosos. O primeiro teste da bola chipada ocorreu no campeonato mundial para menores de 17 anos, no fim do ano passado, no Peru. Não agradou. Especulou-se que o teste só ocorreu porque a bola proposta foi feita por uma tradicional patrocinadora da Fifa. "Consideramos que a nova tecnologia não está pronta", limitou-se a explicar o secretário-geral da Fifa. Por isso, nos casos de lances duvidosos na Alemanha, que fatalmente ocorrerão, será preciso continuar confiando nos olhos dos juízes. Vários precedentes, mesmo em Copas do Mundo, mostram que nem sempre eles acertam. Os argumentos contra o uso da tecnologia não resistem ao bom senso. O mais famoso deles é feito pelo presidente da Fifa em pessoa, Sepp Blatter. "Se o jogo ficar científico, perderá a emoção", ele costuma dizer. É o caso de
Quando o secretário-geral da Fifa afirma – " Consideramos que a nova tecnologia não está pronta." – entende-se que
Provas
Em certa cidade, uma lei só é aprovada se 3/5 dos vereadores votarem favoravelmente. Se 56% dos vereadores estão a favor da lei, que fração ainda falta para aprová-la?
Provas
Uma vara de 2 m produz uma sombra de 80 cm. A altura de um prédio que no mesmo instante projeta uma sombra de 12 m é
Provas
Existe um número que, somado com quatro ou multiplicado por quatro, dá o mesmo resultado. Esse número é
Provas
Uma mercadoria que era vendida por R$ 30,00, em uma promoção passou a ser vendida com 20% de desconto. Terminada a promoção, ela recebeu, novamente, 20% de acréscimo. Então, seu preço passou a ser
Provas
Caderno Container