Foram encontradas 40 questões.
Quanto à organização da
educação nacional, o Art. 10 da Lei
nº 9.394/1996 estabelece como incumbência
dos estados:
Provas
Questão presente nas seguintes provas
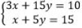
A solução do sistema de
equações lineares
é:
é:Provas
Questão presente nas seguintes provas
O volume de um prisma
triangular regular onde a altura mede 7√3 cm e
o perímetro da base é 12 cm é:
Provas
Questão presente nas seguintes provas
Um fabricante de bolas de Natal
armazenou sua produção mensal de 2.000 bolas
de tamanho número 5, do mês de janeiro, em
250 caixas com capacidade de 8 unidades por
caixa. Planejando a sua produção desse tipo de
bola de Natal para o próximo mês com um
aumento de 40%, o número de caixas de 16
unidades necessárias para armazenar essa
produção é:
Provas
Questão presente nas seguintes provas
A simplificação do polinômio P(x) = 3x³ - 12x² + 12x / x² - 4 é:
Provas
Questão presente nas seguintes provas
A equação reduzida da reta que
passa pelo centro da circunferência de equação (x − 2)² + (y + 3)² = 9 e tem coeficiente linear
igual ao raio dessa circunferência é:
Provas
Questão presente nas seguintes provas
A solução da equação
1253x+2 + 25 = 50 é:
Provas
Questão presente nas seguintes provas
Considere um quadrado que
tem como medida do lado igual a medida da
diagonal de um retângulo cuja área é 72 cm² e
a medida do lado maior é o dobro da medida do
lado menor. Qual a área desse quadrado?
Provas
Questão presente nas seguintes provas
Quantas placas de automóveis
podem ser formadas a partir da sequência de 2
letras distintas escolhidas de um alfabeto de 20
letras, seguida de 3 algarismos que podem se
repetir, e podendo ser placas na cor amarela ou
na cor azul?
Provas
Questão presente nas seguintes provas


* COP 21 – Conferência, ocorrida em dezembro de 2015, em Paris, em que os 196 países integrantes da ONU discutiram sobre como lidar com as mudanças climáticas. http://www.cartacapital.com.br/sustentabilidade/uma-terra-mais-quente-e-desigual
A sustentabilidade, tão almejada, só será efetivamente alcançada quando a humanidade conseguir entender e combater todos esses desequilíbrios ambientais e sociais.
Provas
Questão presente nas seguintes provas
Cadernos
Caderno Container