Foram encontradas 40 questões.
Como é chamada a área de armazenamento
criada pelos navegadores para guardar dados dos
sites de internet localmente, evitando que o
computador precise fazer consultas constantes à
rede para trazer as informações da página:
Provas
Questão presente nas seguintes provas
O Gráfico a seguir foi elaborado utilizando o
Microsoft Excel. Esse tipo de gráfico pode ser
usado para plotar mudanças ao longo do tempo e
chamar a atenção para o valor total no decorrer
de uma tendência. Mostrando a soma dos valores
plotados, também mostra a relação de partes com
um todo.
Qual é o tipo do gráfico no Excel descrito e representado pela imagem:
Qual é o tipo do gráfico no Excel descrito e representado pela imagem:
Provas
Questão presente nas seguintes provas
O Microsoft Word é um programa integrante da
categoria de processadores de texto, utilizado
para a elaboração de documentos digitais.
Assinale a alternativa que apresenta uma
afirmação correta sobre o Microsoft Word.
Provas
Questão presente nas seguintes provas
4013087
Ano: 2026
Disciplina: TI - Sistemas Operacionais
Banca: Avança SP
Orgão: Pref. Vinhedo-SP
Disciplina: TI - Sistemas Operacionais
Banca: Avança SP
Orgão: Pref. Vinhedo-SP
Provas:
No Sistema Operacional Windows 11, diversos
comandos de teclado podem ser utilizados para
facilitar a interação do usuário com o ambiente
gráfico. Considerando que o Explorador de
Arquivos está aberto na área de trabalho, analise
as alternativas a seguir e identifique a ação
executada pelo comando Alt+F4.
Provas
Questão presente nas seguintes provas
4013086
Ano: 2026
Disciplina: TI - Sistemas Operacionais
Banca: Avança SP
Orgão: Pref. Vinhedo-SP
Disciplina: TI - Sistemas Operacionais
Banca: Avança SP
Orgão: Pref. Vinhedo-SP
Provas:
Os arquivos em sistemas computacionais são
utilizados para armazenar diferentes tipos de
informações. Sobe os conceitos envolvendo os
arquivos do Windows, é correto afirmar que:
Provas
Questão presente nas seguintes provas
O médico Dr. Mariano atende 12 pacientes por
dia, trabalhando 6 horas diárias em sua clínica.
Como irá sair de férias no final do ano, decidiu
antecipar sua agenda para atender, nesta mesma
semana, mais 60 pacientes correspondentes a
uma semana inteira de atendimentos, além dos 12
pacientes que já atende diariamente.
Mantendo fixos os 5 dias úteis da semana, quantas horas por dia ele precisará trabalhar para conseguir atender todos os pacientes?
Assinale a alternativa correta.
Mantendo fixos os 5 dias úteis da semana, quantas horas por dia ele precisará trabalhar para conseguir atender todos os pacientes?
Assinale a alternativa correta.
Provas
Questão presente nas seguintes provas
Em um hospital trabalham três médicos: Helena,
Marcos e Tiago. Considerando que cada médico
atende em um setor diferente, Helena atende no
setor de Pediatria, Marcos não atende na
Pediatria e Tiago não atende na Ortopedia, em
qual setor Marcos atende?
Assinale a alternativa correta.
Assinale a alternativa correta.
Provas
Questão presente nas seguintes provas
Considere os números inteiros: A = 20, B = 28 e
C = 36.
Calcule o mínimo múltiplo comum MMC e o máximo divisor comum MDC de cada par de números (A, B), (B, C) e (A, C). Em seguida, determine o valor da expressão:
Assinale a alternativa correta:
Calcule o mínimo múltiplo comum MMC e o máximo divisor comum MDC de cada par de números (A, B), (B, C) e (A, C). Em seguida, determine o valor da expressão:
Assinale a alternativa correta:
Provas
Questão presente nas seguintes provas
Davi possui uma quantidade N de caixas maior
do que 80 e menor do que 90. Se as N caixas
fossem agrupadas de 5 em 5 sobrariam duas. Se
houvesse duas caixas a mais, elas poderiam ser
agrupadas de 7 em 7 sem que sobrasse qualquer
caixa.
A soma dos algarismos de N é:
A soma dos algarismos de N é:
Provas
Questão presente nas seguintes provas
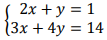
Você está estudando matemática para concursos
públicos e, em meio aos diversos exercícios que
estava resolvendo, se deparou com o seguinte
problema:
Dado o sistema de equações abaixo, encontre todas as soluções do sistema:
Assinale a alternativa que indica o par ordenado que representa a solução desse sistema de equações.
Dado o sistema de equações abaixo, encontre todas as soluções do sistema:
Assinale a alternativa que indica o par ordenado que representa a solução desse sistema de equações.
Provas
Questão presente nas seguintes provas
Cadernos
Caderno Container