Foram encontradas 60 questões.
A combinação de teclas de atalho para imprimir uma página na Internet é:
Provas
Questão presente nas seguintes provas
Suponha que você receba uma mensagem eletrônica contendo o arquivo “atas de RP.doc”. O aplicativo padrão a ser utilizado para abrir esse arquivo é:
Provas
Questão presente nas seguintes provas
No Windows, o local que exibe ícones representando os aplicativos que estão abertos em seu computador é chamado de:
Provas
Questão presente nas seguintes provas
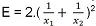
Sendo x1 e x2 os valores de x, onde o gráfico da função f(x) = x2 – 15.x + 3 corta o eixo x, ou seja, x e x são as raízes ou zeros da função, determine o valor da expressão 

Provas
Questão presente nas seguintes provas
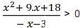
O maior número inteiro que pertence ao conjunto solução da inequação
é
éProvas
Questão presente nas seguintes provas
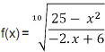
O domínio da função definida por


Provas
Questão presente nas seguintes provas
simplificação correta da expressão


Provas
Questão presente nas seguintes provas
No lanche de uma reunião serão distribuídos três tipos de salgadinhos, 150 deles de carne, 130 de camarão e os salgadinhos de frango serão 65% do total. O total de salgadinhos distribuídos nessa reunião será:
Provas
Questão presente nas seguintes provas
Um assistente trabalha, nas horas vagas,montando e vendendo computadores. Ele gasta atualmente R$ 680,00 para montar cada computador que anuncia e vende para os seus clientes por R$ 900,00 cada um. Ele vendeu quatro computadores, dois deles com um desconto de 15% e os outros dois com um desconto de 10% sobre o preço anunciado.
Em relação ao preço de custo, o lucro aproximado, obtido por ele com a venda desses quatro computadores foi:
Em relação ao preço de custo, o lucro aproximado, obtido por ele com a venda desses quatro computadores foi:
Provas
Questão presente nas seguintes provas
Uma papelaria vende uma caixa com 25 unidades de CD’s por R$ 0,90 a unidade. Jorge comprou duas dessas caixas, além de capinhas para cada CD, e pagou R$ 51,00.O valor de cada capinha foi:
Provas
Questão presente nas seguintes provas
Cadernos
Caderno Container