Foram encontradas 50 questões.
O diagrama em blocos abaixo representa um sistema de controle PID não-interativo.

Os blocos I, II e III estão corretamente identificados em:
Provas
Provas
Provas
Sobre transmissores inteligentes, considere:
I. Podem se comunicar com sistema de controle por meio de protocolos HART, Fieldbus e Profibus.
II. A calibração, auto diagnose e alteração de parâmetros são realizadas somente no local.
III. Podem processar as informações e corrigir erros de não linearidade do sensor primário.
IV. A instalação pode ser feita a dois fios, ou seja, a alimentação e o sinal de transmissão podem estar no mesmo fio.
Está correto o que se afirma APENAS em
Provas
Provas
Provas
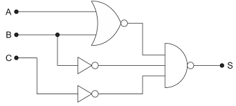
O circuito abaixo realiza a seguinte expressão lógica:

Provas
Considere o reservatório de água, representado abaixo, o qual é alimentado pela água de um rio, puxada por meio de uma bomba (B). A bomba deverá ser acionada apenas quando as válvulas V1 e V2 estiverem abertas simultaneamente ou enquanto o nível da água do tanque estiver abaixo de um valor indicado por um sensor de nível (S).

O programa Ladder que executa a função lógica do sistema de bombeamento consta em
Provas
No que diz respeito a microcontroladores, considere:
I. Dispositivos utilizados basicamente para controle de temperatura e pressão em uma planta industrial.
II. Dispositivos que possuem internamente a parte lógica de um microcomputador, também denominados Single Chip Microcomputer.
III. Podem utilizar tecnologia SISC ou RISC.
IV. Utilizam somente entradas e saídas digitais.
Está correto o que se afirma APENAS em
Provas
Provas
Caderno Container