Foram encontradas 120 questões.
A globalização consiste no processo de intensificação de trocas econômicas, de intercâmbio cultural e de avanços tecnológicos e informacionais sem precedentes na história da humanidade. Julgue os itens seguintes, acerca de globalização.
A integração regional é o aspecto da globalização em que as relações culturais e econômicas se tornam mais rápidas e eficientes, uma vez que as distâncias estão cada vez mais curtas com a criação de uma rede de conexões.
Provas
A globalização consiste no processo de intensificação de trocas econômicas, de intercâmbio cultural e de avanços tecnológicos e informacionais sem precedentes na história da humanidade. Julgue os itens seguintes, acerca de globalização.
O atual estágio de consolidação do espaço mundial economicamente globalizado é atribuído aos avanços científicos e tecnológicos alcançados com a revolução técnico-científica.
Provas

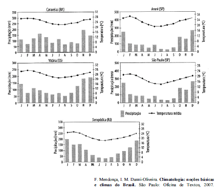
Julgue os itens a seguir, relativos às características do clima representado pelos climogramas acima.
As localidades desse tipo climático são influenciadas pelos sistemas atmosféricos continentais equatoriais e pela zona de convergência intertropical.
Provas

Julgue os itens a seguir, relativos às características do clima representado pelos climogramas acima.
A cidade de São Paulo apresenta temperaturas mais amenas que as demais localidades, pois se situa sobre o relevo elevado do sudeste, além de sofrer o efeito da maritimidade e da frente polar atlântica.
Provas

Julgue os itens a seguir, relativos às características do clima representado pelos climogramas acima.
A principal característica apresentada pelo tipo climático é um período seco entre maio e setembro.
Provas
O Brasil apresenta uma das mais variadas reservas de minério do mundo, fato que se deve à extensão e à composição litológica do território nacional. O Espírito Santo, por sua vez, tem o maior complexo de pelotização de minério de ferro do mundo e é o maior produtor nacional de placas de aço e o segundo maior produtor nacional de petróleo. A respeito desse assunto, julgue os itens que se seguem.
Na metalurgia, a pelotização é um processo de aglomeração cuja finalidade é agregar, com o recurso de processamento térmico, a parcela ultrafina do minério de ferro em esferas de diâmetros que permitam sua aplicação direta nos fornos siderúrgicos.
Provas
O Brasil apresenta uma das mais variadas reservas de minério do mundo, fato que se deve à extensão e à composição litológica do território nacional. O Espírito Santo, por sua vez, tem o maior complexo de pelotização de minério de ferro do mundo e é o maior produtor nacional de placas de aço e o segundo maior produtor nacional de petróleo. A respeito desse assunto, julgue os itens que se seguem.
O primeiro campo de produção de petróleo em águas profundas da bacia do Espírito Santo é o Campo de Golfinho, localizado ao norte do estado.
Provas
O Brasil apresenta uma das mais variadas reservas de minério do mundo, fato que se deve à extensão e à composição litológica do território nacional. O Espírito Santo, por sua vez, tem o maior complexo de pelotização de minério de ferro do mundo e é o maior produtor nacional de placas de aço e o segundo maior produtor nacional de petróleo. A respeito desse assunto, julgue os itens que se seguem.
Locais com elevado grau de hidrodinamismo tendem a dispersar o petróleo de maneira rápida e eficiente, o que faz com que o impacto de um derrame seja reduzido ou não perceptível.
Provas
Com relação a critérios de delimitação de regiões, julgue os itens que se seguem.
As regionalizações produzidas sob o paradigma da análise regional consideravam a forma pela qual o espaço geográfico era configurado a partir da divisão territorial do trabalho.
Provas
Com relação a critérios de delimitação de regiões, julgue os itens que se seguem.
A partir das ideias introduzidas por Hettner e popularizadas por Hartshorne, o termo região, como categoria geográfica, passou a ocupar o centro da análise geográfica.
Provas
Caderno Container