Foram encontradas 409 questões.
Considere as curvas de solubilidade abaixo.

Em 100 g de água, a 20 °C, apresentará corpo de fundo uma mistura preparada com
Provas
O modelo atômico de Dalton foi adequado para explicar satisfatoriamente:
I. as leis ponderais de Lavoisier e Proust.
II. os experimentos de Faraday sobre eletrólise.
III. a radioatividade natural do elemento urânio.
Está correto o que consta APENAS de
Provas
Um professor demonstrou aos seus alunos o experimento para identificar a natureza das ligações de algumas substâncias. Submeteu a um teste de condução de corrente elétrica alguns materiais no estado sólido e após dissolvê-los em água destilada, como segue.
Frasco I: sal de cozinha.
Frasco II: açúcar.
Frasco III: solução aquosa obtida com o material do frasco I.
Frasco IV: solução aquosa obtida com o material do frasco II.
Frasco V: água destilada com a qual preparou as soluções III e IV.

(Disponível em: https://brainly.com.br)
A condução de corrente elétrica capaz de acender a lâmpada é observada somente no frasco
Provas
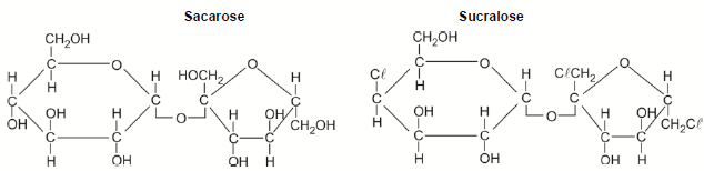
Atenção: Para responder à questão considere o esquema a seguir que mostra as estruturas da sacarose e da sucralose.

As funções orgânicas comuns à sacarose e à sucralose são
Provas
Atenção: Para responder à questão considere o esquema a seguir que mostra as estruturas da sacarose e da sucralose.

Comparando essas estruturas, na obtenção da sucralose a partir da sacarose observa-se que ocorreu reação de
Provas
O disseleneto de tungstênio, WSe2, é classificado como um dicalcogeneto de metal de transição, uma classe de materiais formada por átomos de um metal de transição (no caso o tungstênio) e um calcogênio (selênio). Nesse composto, a carga do íon tungstênio é:
Provas
Um professor utilizou o infográfico a seguir para trabalhar a Química dos combustíveis no contexto CTS (Ciência, Tecnologia e Sociedade).

(Adaptado de: Revista Pesquisa Fapesp, dez. 2021)
Essa abordagem mostrou que a projeção para 2030 da matriz energética brasileira terá a diminuição do uso dos derivados de petróleo e o maior crescimento em gigawatts para a fonte renovável, que é
Provas
Além de um pigmento mineral (cinábrio – mineral contendo mercúrio), sangue humano e clara de ovo de aves compunham uma tinta que recobria a máscara de ouro de um líder da cultura Sicán, encontrada há três décadas em uma tumba no Peru. A clara de ovo servia de aglutinante para a tinta por conter basicamente a albumina, que é
Provas
Uma anã branca é o que sobra de uma estrela como o Sol após explodir e expulsar suas camadas externas. A atmosfera dessas estrelas contém apenas hidrogênio e hélio. O núcleo remanescente, no entanto, é tão denso que atrai material de planetas e astros próximos. Na atmosfera das anãs brancas já estudadas, os pesquisadores identificaram cálcio, silício e magnésio.
(Adaptado de: Revista Pesquisa Fapesp, dez. 2021)
Os elementos encontrados nas anãs brancas que pertencem ao mesmo grupo da Tabela Periódica são
Provas
As baleias são os maiores seres vivos do planeta e importantes recicladores de nutrientes dos oceanos. Elas consomem uma quantidade colossal de alimento e suas fezes fertilizam as águas próximas à superfície. Por exemplo, uma baleia azul come cerca de 16 toneladas de peixes, lulas e pequenos crustáceos por dia. Hoje, apenas no oceano Austral, as baleias reciclam por ano, 1 200 toneladas de ferro, nutriente essencial para a reprodução do plâncton, organismos microscópicos que estão na base da cadeia alimentar marinha e contribuem para captar gás carbônico da atmosfera.
(Adaptado de: Revista Pesquisa Fapesp, dez. 2021)
A reação global de captura de gás carbônico pelo plâncton é representada corretamente por:
Provas
Caderno Container