Foram encontradas 70 questões.
O físico e matemático inglês Sir Isaac Newton publicou um estudo que, em parte, explicou três relações fundamentais entre força e movimento, que explicam vários fenômenos físicos de nossa experiência cotidiana. Newton, em seus experimentos, verificou que o conceito de massa estava relacionado com o fato de os objetos resistirem à mudança em seu estado de movimento. Ele descreveu essa relação como uma propriedade intrínseca e imutável da massa dos corpos e dos objetos. Essa propriedade é definida na primeira lei de Newton.
Kesten e Tauck. Física na Universidade para as Ciências Físicas e da Vida. v. 1. Rio de Janeiro: LTC editora, 2012 (com adaptações).
A primeira lei de Newton garante que
Provas
Com base nessa situação hipotética, assinale a alternativa correta.
Provas

A difração da luz pode ser explicada pelo princípio de Huygens, segundo o qual cada ponto de uma fenda se comporta como se fosse um foco emissor secundário de luz. Considerem-se uma fenda de largura AB na qual incide, perpendicularmente, um feixe de luz monocromática e um segundo anteparo opaco, disposto perpendicularmente aos raios incidentes na fenda, no qual é projetada a imagem da fenda, conforme a figura acima. Suponha-se ainda que, sobre a fenda estreita, incida uma luz monocromática de 600 nm, em um anteparo, a 2 m de distância (D), que o afastamento linear (y) entre o segundo mínimo de difração e o máximo central seja de 1,2 cm e que, para pequenos ângulos, tg Θ ≅ sen Θ . Nesse caso, a largura AB da fenda, em milímetros, é igual a
Provas

Com base na figura e no texto apresentados, o valor da distância x, em centímetros, é igual a
Provas
Um corpo de 10 kg move-se ao longo do eixo x sob a ação de uma força que o impulsiona. A figura abaixo mostra a força que age sobre o corpo, que parte do repouso, em t = 0.

Provas

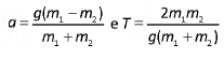
A partir do texto e da figura acima, assinale a alternativa que apresenta a expressão correta da aceleração (a) e da força de tração (T) no cabo.
Provas
Uma força
, com x em metros, age sobre uma partícula, alterando somente a sua energia
cinética.
Com base nesse caso hipotético, o trabalho, em Joule,
realizado sobre a partícula quando ela se desloca das
coordenadas (3 m, 4 m) para as coordenadas (4 m, 0 m) é
igual a
Provas

O gráfico acima mostra a aceleração escalar de um móvel em função do tempo. Sabendo-se que a velocidade inicial é nula, o valor da aceleração escalar média, em m/s2, no intervalo de 0 a 28 s, é igual a
Provas
Internet: <https://sobrefisica.wordpress.com> (com adaptações).
Tendo o texto acima como referência inicial, assinale a alternativa correta acerca dos fenômenos relacionados ao magnetismo.
Provas
Provas
Caderno Container